Brist på plats
Utvärdering av satsningen på att öka antalet vårdplatser inom hälso- och sjukvården
Innehåll
Förord
Resultat i korthet
Sammanfattning
1 Inledning
2 Måluppfyllelse
3 Statlig styrning av satsningen
4 Socialstyrelsens roll
5 Insatser som regioner arbetat med och hur de genomförts
6 Hälso- och sjukvården är ett sammanhängande system
7 Slutsatser och rekommendationer
Referenser
Bilaga 1 – Ledningsenkäten
Bilaga 2 – Vårdplatskoordinatorsenkäten
Bilaga 3 – Intervjuer
Bilaga 4 – Dokumentanalys
Bilaga 5 – Datakvalitet, bortfall, täckningsgrad och uträkningar
Beslut
Om publikationen
Förord
Under flera år har antalet disponibla vårdplatser minskat. En del av minskningen förklaras av medicinsk utveckling. Men det har också funnits tydliga tecken på vårdplatsbrist. Vårdplatsbristen påverkar både patienter och personal negativt.
Vårdplatser är en av flera delar som ingår i vårdkapaciteten. Detta innebär att andra delar av hälso- och sjukvården både påverkar och påverkas av slutenvården. Till exempel kan andra delar påverka in- och utflödet till och från slutenvården.
Regeringen valde inledningsvis att göra en vårdplatssatsning. Men har senare breddat fokus till vårdkapacitet. Myndigheten för vård- och omsorgsanalys har haft i uppdrag att utvärdera regeringens satsning på att öka antalet vårdplatser och detta är vår slutrapport. Vår förhoppning är att rapporten kommer till nytta i det fortsatta arbetet med att minska vårdplatsbristen och stärka vårdkapaciteten.
Arbetet med rapporten har letts av projektledaren och utredaren Agnes Lindvall. I arbetet har analytikerna Caroline Larsson och Sophie Cassel, utredaren Johan Frisk samt juristen Ellen Ringqvist deltagit. Projektdirektören Åsa Ljungvall har också deltagit i arbetet.
Vi vill rikta ett varmt tack till alla som har tagit sig tid att medverka i intervjuer, svarat på enkäter eller på andra sätt bidragit till vårt arbete med rapporten.
Stockholm i april 2026, Jean-Luc af Geijerstam, generaldirektör
Resultat i korthet
Vi har på regeringens uppdrag utvärderat satsningen på att öka antalet vårdplatser.
Våra viktigaste slutsatser
Satsningen har hittills haft en begränsad effekt för patienter och verksamheter samtidigt som det finns vissa positiva tecken:
- Hittills ser satsningen inte ut att ha ökat antalet vårdplatser, och vårdplatskoordinatorerna upplever ingen förbättring.
- Vissa förbättringar syns i statistiken över antalet överbeläggningar och utlokaliseringar, avståndet till Socialstyrelsens riktvärde för vårdplatser och i bilden från regionledningar.
Regionernas arbete har varit delvis ändamålsenligt:
- Satsningen har varit stödjande framför hårt styrande, vilket har gett regionerna stora möjligheter att välja inriktning på sitt arbete.
- Samtliga regioner har valt insatser i linje med satsningens syfte, och en tredjedel har arbetat med dem på ett ändamålsenligt sätt.
Att öka vårdens kapacitet kräver en helhetssyn på systemet:
- Den kommunala hälso- och sjukvården påverkas av situationen i slutenvården.
- Det saknas förutsättningar att med statistik följa patienter från slutenvården till andra delar av vården. Det går inte heller att studera hur förändringar i slutenvårdens kapacitet påverkar den kommunala hälso- och sjukvården.
Vi rekommenderar
- Regeringen bör fortsätta fokusera på vårdkapacitet och säkerställa att utvecklingen fortsatt följs upp.
- Regeringen bör stärka system- och helhetsperspektivet i styrningen.
- Regionerna bör prioritera insatser som gör tydlig skillnad i verksamheterna och för patienterna.
- Regeringen och relevanta myndigheter bör stärka förutsättningarna för lärande och uppföljning i hela hälso- och sjukvårdssystemet.
- Regeringen och relevanta myndigheter bör säkerställa att arbetet för god datakvalitet fortsätter.
Sammanfattning
Under flera år har antalet vårdplatser minskat. För att vända utvecklingen valde regeringen att genomföra en satsning på att öka antalet vårdplatser. Myndigheten för vård- och omsorgsanalys har haft regeringens uppdrag att utvärdera vårdplatssatsningen med utgångspunkt i om målet med satsningen har uppnåtts och om regionernas insatser har varit ändamålsenliga. I uppdraget ingick också att ha ett patient- och systemperspektiv. I utvärderingen utgår vi från satsningens ursprungliga mål vilket vi tolkar som att öka antalet vårdplatser och minska vårdplatsbristen. Målen är delvis överlappande eftersom fler vårdplatser är ett sätt att minska vårdplatsbristen. Men inte helt överlappande eftersom det finns andra sätt att minska vårdplatsbristen, det kan till exempel handla om att minska inflödet eller öka utflödet av patienter från slutenvården. Vi lämnade en delrapport i mars 2025 och det här är vår slutrapport.
För att utvärdera satsningen har vi använt oss av olika metoder. I arbetet med slutrapporten har vi genomfört två enkätundersökningar. Den ena besvarades av ledningen i 18 regioner och den andra av 183 vårdplatskoordinatorer i 20 regioner. Vi har genomfört 18 intervjuer i datainsamlingen till slutrapporten, varav 10 med regionrepresentanter och 8 med representanter från den kommunala hälso- och sjukvården. Vi har också använt statistik och gjort dokumentstudier. I slutrapporten har vi även tagit hänsyn till resultatet som framkom i datainsamlingen till delrapporten. Nedan presenterar vi våra övergripande slutsatser.
Hittills begränsad effekt för patienter och verksamheter
Hittills ser satsningen inte ut att ha bidragit till att öka antalet vårdplatser på nationell nivå. Under 2022–2024 minskade snarare antalet disponibla vårdplatser något. Bristen på tillförlitliga data gör att vi inte kan dra slutsatser om utvecklingen under 2025.
Utifrån ett patientperspektiv är det angeläget att minska vårdplatsbristen. I delrapporten såg vi att patienter som råkat ut för vårdplatsbrist hade sämre erfarenheter av sin vistelse i vården. Till exempel upplevde de mindre ofta att deras vårdbehov tillgodosetts, samt kände sig oftare otrygga vid sin utskrivning.
Det finns vissa tecken som tyder på att vårdplatsbristen kan ha minskat något. Men verksamheterna verkar inte uppleva någon förbättring och därmed finns det en risk att inte heller patienterna gör det. Enligt vår enkät upplever vårdplatskoordinatorerna generellt inte att vårdplatssituationen har förbättrats, utan snarare att det har blivit svårare att hitta en ledig vårdplats. Få anser samtidigt att antalet överbeläggningar och utlokaliseringar har minskat. Vårdplatskoordinatorerna har alltså hittills i relativt begränsad utsträckning upplevt förbättringar, vilket tyder på att insatserna inte gett tydliga skillnader i verksamheterna. Därför bedömer vi att det är osannolikt att vårdplatssituationen förbättrats till den grad att de negativa konsekvenserna har minskat för patienterna.
Vissa tecken på förbättringar
I statistiken över antalet överbeläggningar och utlokaliseringar, avståndet till riktvärdet samt bilden från ledningen ser vi vissa tecken som tyder på att vårdplatsbristen kan ha minskat något. Enligt statistiken är antalet överbeläggningar och utlokaliseringar lägre nu än när satsningen började. Att minska antalet överbeläggningar och utlokaliseringar är dessutom något som nästan alla regioner har arbetat med. Samtidigt har vi i vår delrapport beskrivit hur förändringar i statistiken över överbeläggningar och utlokaliseringar kan bero på annat, till exempel ändrad datarapportering.
Andra tecken på förbättringar är att avståndet till Socialstyrelsens riktvärde för antalet disponibla vårdplatser inom somatisk vård har minskat på nationell nivå. Dessutom ser vi att alla regioner arbetar med att minska vårdplatsbristen. I ledningsenkäten bedömer en majoritet att möjligheterna att tillgodose slutenvårdsbehovet är bättre i dag än 2023.
Regionernas arbete är delvis ändamålsenligt
Satsningens utformning är bred, och utöver att peka ut den önskvärda riktningen har satsningen inte tydligt styrt mot specifika insatser, till exempel innehåller Socialstyrelsens nationella plan Plats för vård fler än 100 insatser. Det innebär att den statliga styrningen har gett regionerna stor frihet att själva välja insatser. Satsningen har dessutom breddats med tiden, fokus har flyttat från att öka antalet vårdplatser till att öka vårdens kapacitet.
Satsningen har varit mer stödjande än hårt styrande
Att styrningen har varit bred gör att det är upp till regionerna att välja insatser. Regionernas val av insatser har huvudsakligen drivits av interna behovsanalyser, varit i linje med tidigare pågående arbete eller påbörjats innan satsningen inletts, snarare än drivits av den statliga styrningen. Satsningen verkar ha förstärkt regionernas fokus, snarare än att få dem att kraftigt ändra fokus.
Satsningen har bestått av två verktyg för att ge stöd till regionerna. För det första har regionerna fått stöd av Socialstyrelsen och för det andra har de fått ekonomiska tillskott genom satsningen. Dessutom signalerar satsningen att vårdplatser är en prioriterad fråga.
Vi ser att Socialstyrelsens arbete har varit en viktig del av den statliga styrningen. De flesta regioner är positivt inställda till Socialstyrelsens arbete. De uppskattar att Socialstyrelsen har en stödjande roll och för dialog med dem, liksom möjligheterna att byta erfarenheter mellan varandra och lära sig av goda exempel.
Samtliga regioner har valt insatser i linje med satsningens syfte
Det breda fokuset i regeringens styrning speglas också i regionernas insatser. Vi ser att regionerna har arbetat med insatser i hela vårdkedjan, och att flera av dem har påbörjat olika insatser efter att satsningen inletts. Det har inte varit möjligt att särskilja vilka insatser som regionerna gjort på grund av vårdplatssatsningen från andra insatser som regionerna gjort på området.
Ett sätt att bedöma ändamålsenligheten med regionernas insatser är att utgå från måluppfyllelsen. Då ser vi att antalet vårdplatser hittills inte har ökat nationellt. Visserligen ser vi vissa tecken på minskad vårdplatsbrist, men inte så pass stora att vårdplatskoordinatorerna upplever att det har blivit lättare att hitta lediga vårdplatser.
Samtidigt kan det ta tid innan insatser ger effekt och därför har vi även beaktat andra aspekter för att bedöma ändamålsenligheten. Vi ser att en majoritet av regionerna har gjort insatser för att öka antalet vårdplatser och att ännu fler har gjort insatser för att minska vårdplatsbristen. Eftersom målet med satsningen både är att öka vårdplatserna och minska vårdplatsbristen, bedömer vi att insatsernas inriktning får räknas som ändamålsenlig.
Ändamålsenligheten i regionernas insatser kan också utvärderas utifrån arbetet med att ta fram och genomföra insatserna. Ingen region uppfyller alla dimensioner av ändamålsenliga arbetssätt. Men en tredjedel av regionerna har arbetat på ett till största delen ändamålsenligt sätt genom att genomföra behovsanalyser, definiera mål och följa upp dem samt involvera verksamhetsföreträdare.
Ökad kapacitet i vården kräver helhetssyn på systemet
Att olika delar av hälso- och sjukvården påverkar varandra gör att det krävs en helhetssyn på systemet, för att hållbart kunna öka vårdens kapacitet. Samtidigt saknas i dag förutsättningar att med nationell statistik kunna följa patienters förflyttningar mellan vårdnivåer.
Kommunala hälso- och sjukvården påverkas av slutenvården
Den kommunala hälso- och sjukvården spelar en viktig roll för in- och utflödet av patienter till slutenvården, eftersom många patienter rör sig mellan dessa vårdnivåer. Samtidigt påverkas den kommunala hälso- och sjukvården av slutenvården. Den märker av när läget är ansträngt i slutenvården, främst genom försämrad samverkan och informationsöverföring. Men det kan också handla om att slutenvården skriver ut patienter utan att kommunerna har förutsättning att ta hand om dem på bästa sätt.
Även under förhållandevis lugnare perioder i slutenvården utmanas kommunerna av de korta vårdtiderna i slutenvården och ett ökat vårdbehov hos patienterna. Den kommunala hälso- och sjukvården har över tid fått mer ansvar för vård och omvårdnad som tidigare gavs inom slutenvården.
Vi ser att regionerna har arbetat med att minska belastningen i slutenvården med insatser som kan få konsekvenser för vården utanför slutenvården. Det är viktigt att säkerställa att kommunerna får förutsättningar att hantera eventuella minskningar av behov inom slutenvården, som leder till att vård- och omsorgsinsatser flyttas från slutenvården till den kommunala hälso- och sjukvården.
Kan inte följa upp patienter från slutenvården till andra delar av vården
För att kunna bedöma hur satsningen och slutenvårdens arbete påverkar övriga delar av hälso- och sjukvården, behöver man kunna följa hur förändringar i slutenvårdens kapacitet påverkar andra delar av vården. I dag saknas förutsättningar att med tillgänglig statistik följa patientflödena mellan vårdnivåerna. Det innebär att det inte heller går att utvärdera hur förändringar i slutenvårdens kapacitet påverkar den kommunala hälso- och sjukvården, och vice versa. Det finns inte heller någon tydlig definition av kapaciteten i den kommunala hälso- och sjukvården, vilket ytterligare försvårar möjligheterna att undersöka hur den kommunala hälso- och sjukvårdens kapacitet påverkar slutenvården.
Vi lämnar fem rekommendationer
Våra tre första rekommendationer syftar till att stärka en långsiktig och systemövergripande styrning, som möjliggör positiva effekter för verksamheterna och patienterna. Våra två sista rekommendationer syftar till att förbättra förutsättningarna för uppföljning och lärande.
Regeringen bör stärka förutsättningarna för ett ändamålsenligt arbete i regionerna
En förutsägbar och långsiktig statlig styrning stärker regionernas förutsättningar att arbeta ändamålsenligt mot satsningars mål. Vi ser positivt på regeringens steg i riktning mot ett långsiktigt fokus på vårdkapacitet. Regionerna är positiva till Socialstyrelsens arbete och till fokuset på vårdkapacitet. Vi rekommenderar att regeringen fortsätter fokusera på vårdkapacitet.
Samtidigt som det pågår arbete i regionerna kan vi ännu inte se tydliga effekter för patienter och verksamheter. En möjlig förklaring kan vara att det har gått för kort tid. Vi rekommenderar att regeringen fortsätter att följa upp och utvärdera satsningen för att säkerställa att regeringens styrning och regionernas insatser börjar bidra till satsningens mål. Om arbetet inte börjar ge tydliga effekter med tiden behövs justeringar.
En viktig del i förutsägbar och långsiktig statlig styrning är framförhållning för medel. Regeringen bör ha detta i åtanke när medel till regionerna planeras, och i största möjligaste mån styra mot lång framförhållning.
Regeringen bör stärka system- och helhetsperspektivet i styrningen
Olika delar av hälso- och sjukvården påverkar varandra. För att öka vårdens kapacitet är det viktigt att regeringen, regionerna och kommunerna har ett systemperspektiv. Ett exempel på systemperspektiv är att Socialstyrelsen i den nationella planen Plats för vård lyfter fram Ställ om till god och nära vård som ett av fokusområdena. För att stärka förutsättningarna att vårdkapaciteten ska tillgodose patienternas behov, är det viktigt att primärvården har goda förutsättningar. Vi har tidigare lämnat rekommendationer som är viktiga för detta som fortfarande är relevanta.
Vi vill särskilt lyfta fram behovet av att stärka kommunernas förutsättningar. Vi rekommenderar därför att regeringen ser över hur det kommunala perspektivet kan stärkas i arbetet med att öka vårdens kapacitet. Inom det arbetet är det samtidigt viktigt att ta hänsyn till kommunernas kapacitet att hantera fler statliga styrsignaler.
Det är också viktigt att staten har ett helhetsperspektiv på hur olika satsningar kan stärka eller motverka varandra. Vi rekommenderar därför att regeringen förtydligar och kommunicerar hur olika satsningar hänger samman.
Regionerna bör prioritera insatser som gör tydlig skillnad för verksamheterna och patienterna
Att vårdplatskoordinatorerna inte upplever någon förbättring talar för att insatserna inte har gjort tydliga skillnader i verksamheterna. Det är regionernas ansvar att se till att befolkningens vårdbehov blir tillgodosedda. Det är viktigt att regionernas insatser ger tydligt märkbara effekter för verksamheterna och i förlängningen för patienterna. Vi rekommenderar att regionerna prioriterar insatser som förväntas ge det. Det är samtidigt viktigt att regionerna ser hälso- och sjukvården ur ett systemperspektiv och utvärderar att insatserna inte leder till negativa effekter i övriga delar av hälso- och sjukvårdssystemet.
Vi kan inte ge mer konkreta rekommendationer på vilka insatser regionerna bör införa. I sin plan för att minska vårdplatsbristen föreslår Socialstyrelsen många insatser. Där skriver Socialstyrelsen också att regionerna behöver välja insatser utifrån sina behov och förutsättningar, vilket vi instämmer i.
Regeringen och relevanta myndigheter bör stärka förutsättningarna för lärande och uppföljning i hela hälso- och sjukvårdssystemet
Det behövs tillförlitliga data som beskriver hela vård- och omsorgskedjan på individnivå. Först då kan vi följa patienternas förflyttning mellan vårdnivåer och hur förändringar i slutenvårdens kapacitet påverkar andra delar av hälso- och sjukvården. Vi har tidigare instämt i förslagen som Utredningen om hälsodataregister (SOU 2024:57) lämnade. Vi har även i en tidigare rapport rekommenderat att privata vårdgivare ska inkluderas i registret över insatser i kommunal hälso- och sjukvård, och att det införs ett primärvårdsregister.
I linje med det rekommenderar vi att regeringen ger Socialstyrelsen i uppdrag att kartlägga den kommunala hälso- och sjukvårdens kapacitet. En del i uppdraget bör vara att ta fram definitioner och hur det kan mätas. En sådan kartläggning skulle visa vilken information som saknas eller som behöver utvecklas, för att skapa förutsättningar att systematiskt följa upp förändringar i kommunernas kapacitet.
Regeringen och relevanta myndigheter bör säkerställa att arbetet för god datakvalitet fortsätter
I dag går det inte att få en korrekt aktuell nationell bild av antalet vårdplatser, överbeläggningar och utlokaliseringar. För att kunna följa upp satsningens effekter behöver dessa mått finns tillgängliga med god kvalitet. Här har Socialstyrelsen en viktig roll, och vi rekommenderar därför att regeringen fortsätter att prioritera Socialstyrelsens arbete med att utveckla sin väntetidsdatabas.
Det pågår ett arbete hos Socialstyrelsen att ta över SKR:s väntetidsdatabas. Vi ser positivt på att Socialstyrelsen tillsammans med SKR ser över inrapporteringsmodellen för vårdplatser. Det är viktigt att kontinuerligt arbeta med att säkerställa att vårdplatsdata håller god kvalitet, och att man löpande diskuterar centrala begrepp och definitioner. Samtidigt är det också viktigt att eftersläpningen i statistiken inte är alltför stor, eftersom det finns ett värde av att kunna få en aktuell bild.
1 Inledning
Efter att antalet vårdplatser i svensk hälso- och sjukvård minskat under flera år, inledde regeringen 2023 en satsning på att öka antalet vårdplatser. Under 2024 breddades fokus på satsningen från att öka antalet vårdplatser till ökad vårdkapacitet inom hälso- och sjukvården.
Myndigheten för vård- och omsorgsanalys har haft i uppdrag att utvärdera regeringens satsning. Det här är vår slutrapport.
1.1 Vi utvärderar satsningen
Vi har sedan 2023 haft i uppdrag att utvärdera regeringens satsning på att öka antalet vårdplatser. Utgångspunkten i vår utvärdering har varit om målet med regeringens satsning har uppnåtts, och om regionernas insatser har varit ändamålsenliga. Vi har även haft i uppgift att utvärdera satsningen ur ett system- och patientperspektiv (Socialdepartementet 2023c).
Det här är vår slutrapport inom uppdraget. I mars 2025 delrapporterade vi vårt uppdrag i form av pm:et Utvärdering av satsningen på vårdplatser inom hälso- och sjukvården (Vård- och omsorgsanalys 2025c).
1.2 Vi har tidigare lämnat en delrapport
Vår delrapport fokuserade på satsningens måluppfyllelse hittills, och regionernas bild av regeringens satsning med fokus på Socialstyrelsens uppdrag. Vi undersökte även patienternas bild av att vårdas i slutenvården, samt vilka konsekvenser vårdplatsbrist kan få för dem. Utifrån vårt arbete drog vi följande slutsatser:
- Regionerna bekräftar att det behövs fler vårdplatser, och flera regioner arbetade med vårdplatsfrågan redan innan satsningen.
- Regionerna var positiva till Socialstyrelsens nationella plan för att öka antalet vårdplatser, Plats för vård, och till de arbetssätt som Socialstyrelsen använt sig av för att ta fram den. Men det var ännu för tidigt att utvärdera i vilken utsträckning regionerna använt sig av Socialstyrelsens rapport, eller annat stöd. Regionerna upplevde också att den korta framförhållningen till de prestationsbaserade medlen gjorde det svårare för dem att planera.
- Patienter som har upplevt vårdplatsbrist har också sämre erfarenheter av sin vistelse i vården än andra patienter. De är genomgående mindre nöjda med sin sjukhusvistelse, känner sig mindre trygga, och upplever att de mindre ofta får den vård de behövde.
- Det är svårt att följa antalet överbeläggningar, utlokaliseringar, och vårdplatser i den tillgängliga statistiken, och vi såg skillnader i statistiken beroende på vilken datakälla vi utgick från. Generellt såg vi att regionerna minskade antalet överbeläggningar och utlokaliseringar, trots att antalet vårdplatser inte ökade.
1.3 Vad innehåller vår slutrapport?
I vår slutrapport fortsätter vi att utvärdera satsningens måluppfyllelse, samt regionernas insatser och deras ändamålsenlighet. Vi undersöker även vad regionerna tycker om stödet från Socialstyrelsen och hur vårdplatssituationen i slutenvården påverkar den kommunala hälso- och sjukvården.
De slutsatser och rekommendationer som vi presenterar i den här rapporten är baserade på våra sammantagna resultat från både del- och slutrapporten.
1.3.1 Ramverk för vårt arbete
I vår delrapport delade vi upp vårt analysarbete i olika delmoment för att utvärdera satsningen. De olika delmomenten bildade tillsammans en generell beskrivning av satsningens tilltänkta händelseförlopp, från satsningens inledning till dess att målen kan vara uppfyllda (Vård- och omsorgsanalys 2025c).
Vi har förfinat de olika delmomenten från delrapporten till ett analytiskt ramverk som vi använder oss av i den här rapporten (figur 1). Ramverket beskriver utvecklingen från satsningens utgångsläge till satsningens mål. I kedjan mellan utgångsläge och mål ingår de komponenter som vi bedömer har betydelse för satsningens förutsättningar att uppnå sitt mål: den statliga styrningen av satsningen, regionernas insatser samt vilka effekter vi ser för slutenvården och andra delar av hälso- och sjukvården. De här komponenterna speglas i våra frågor, och ligger till grund för vår datainsamling, våra analyser och den här slutrapportens disposition.
Figur 1. Ramverk för vår utvärdering.

Moment i ramverket
Satsningen utgår från bristen på vårdplatser (kolumn 1) och syftar till att öka antalet vårdplatser och minska vårdplatsbristen inom slutenvården. Det är också det övergripande målet i vårt ramverk (kolumn 2). Att öka antalet vårdplatser och minska vårdplatsbristen är delvis överlappande mål eftersom fler vårdplatser är ett sätt att minska vårdplatsbristen. Men inte helt överlappande eftersom det finns andra sätt att minska vårdplatsbristen, det kan till exempel handla om att minska inflödet eller öka utflödet av patienter från slutenvården En minskad vårdplatsbrist förväntas i förlängningen att ha positiva effekter för vårdpersonalens arbetsmiljö, och för patientsäkerheten i slutenvården.
För att satsningens mål ska uppnås krävs det insatser från både statlig och regional nivå (kolumn 3 och 4 i vårt ramverk). Från statens sida handlar det om att utforma och styra satsningen på ett ändamålsenligt sätt, för att skapa förutsättningar och incitament för regionerna att genomföra insatser som ligger i linje med satsningens mål. En central del av den statliga styrningen inom satsningen är flera regeringsuppdrag till Socialstyrelsen.
Insatserna på regional nivå ska vara ändamålsenliga sedda till satsningens övergripande mål, men också utformade på ett ändamålsenligt sätt så att det skapar förutsättningar för verksamheterna att genomföra dem, och att de ger önskad effekt. Regionernas insatser ska i första hand leda till effekter inom slutenvården, men kan också påverka andra delar av hälso- och sjukvården.
Om den statliga styrningen har skapat förutsättningar för regionerna att arbeta ändamålsenligt med insatser för att minska vårdplatsbristen kan vi förvänta oss att se effekter i slutenvården. Det kan till exempel handla om fler vårdplatser eller färre överbeläggningar och utlokaliseringar. Det är också möjligt att insatserna leder till effekter i andra delar av hälso- och sjukvården. Vi analyserar utfallen av regionernas insatser, och har dem som grund för att bedöma satsningens måluppfyllelse (kolumn 5 och 6).
Slutligen bedömer vi måluppfyllelsen genom att göra en sammantagen bedömning av satsningens syfte och mål, vilka insatser som genomförts samt vilka effekter vi kan se (kolumn 6). Vi har formulerat ett antal frågor som är vägledande i den sammantagna bedömningen av satsningens måluppfyllelse. För att spegla att vår utvärdering ska ha ett system- och patientperspektiv har vi lagt till det nederst i ramverket.
1.4 Vi har utgått från tre övergripande frågor
Uppdraget innebär att bedöma i vilken utsträckning målet med regeringens satsning har uppnåtts och om regionernas insatser har varit ändamålsenliga. För att kunna bedöma det har vi formulerat ett antal frågor. Frågorna grundas på de frågor vi utgick ifrån i vår delrapport, men har vidareutvecklats för att skapa en helhetsbild av satsningen från 2023 till 2025.
Arbetet i den här rapporten utgår från frågorna. De har varit utgångspunkten i vår analys och val av metoder, och besvaras utifrån resultaten i den här rapporten samt resultat och slutsatser från vår delrapport.
1.4.1 Har målet med regeringens satsning uppnåtts?
För att besvara den övergripande frågan om satsningen har bidragit till satsningens mål undersöker vi dels om satsningen har bidragit till att öka antalet disponibla vårdplatser, dels om satsningen har bidragit till att minska vårdplatsbristen. Vi har undersökt hur utvecklingen har sett ut för ett antal indikatorer under tidsperioden 2022–2024 och i den mån det är möjligt redovisar vi även utvecklingen under 2025. Frågan motsvarar det sista stegen i vårt ramverk (figur 1), och syftet är att utifrån tillgänglig statisk och genomförda enkäter besvara om vi kan se någon förbättring i slutenvården under tidsperioden.
För att besvara frågan studerar vi utvecklingen för antalet disponibla vårdplatser, utlokaliseringar och överbeläggningar. Jämfört med motsvarande fråga i delrapporten har vi breddat vår uppföljning och följer även fyra indikatorer som påverkar in- och utflödet till slutenvården. Vi kompletterar statistiken med två enkäter för att undersöka hur olika representanter från regionerna ser på förutsättningarna att tillgodose behovet av vårdplatser.
1.4.2 Har regionernas insatser varit ändamålsenliga?
I vårt uppdrag ingår även att svara på frågan om regionernas insatser har varit ändamålsenliga. För att besvara den frågan har vi formulerat tre delfrågor:
- Hur ser den statliga styrningen av satsningen ut?
- I vilken utsträckning ligger regionernas insatser i linje med regeringens intention?
- I vilken utsträckning är det sannolikt att insatserna har bidragit till en positiv utveckling inom slutenvården?
Dessa tre frågor ger oss en övergripande bild över styrningen i satsningen på statlig och regional nivå. Som ramverket i figur 1 illustrerar är den statliga styrningen tänkt att skapa förutsättningar för regionernas insatser. För att utvärdera om regionernas insatser har varit ändamålsenliga eller inte studerar vi dels om valet av insatser är i linje med satsningens mål, dels om regionerna har arbetat på ett ändamålsenligt sätt i genomförandet av insatserna. Vi gör också en bedömning av i vilken utsträckning det är sannolikt att insatserna bidragit till en positiv utveckling, se faktarutan och figur 2.
Vi analyserar ändamålsenligheten i regionernas insatser utifrån tre aspekter
I vårt uppdrag ingår att analysera ändamålsenligheten i regionernas insatser för att öka antalet vårdplatser eller minska vårdplatsbristen. Vi analyserar ändamålsenligheten utifrån tre aspekter av hur regionerna har arbetat med insatserna inom ramen för satsningen, eftersom det kan ta lång tid för regionernas arbete att leda till mätbara resultat. I vår analys utgår vi från tre aspekter:
- Vi analyserar vilka insatser regionerna har genomfört och i vilken utsträckning de ligger i linje med regeringens intentioner med satsningen.
- Vi analyserar hur regionerna har arbetat med insatserna och fokuserar då på förberedande arbete, förankring, mål, prioriteringar och långsiktighet.
- Vi analyserar vilka effekter insatserna haft, med fokus på om de bidragit till att öka antalet vårdplatser eller minska vårdplatsbristen.
Tillsammans ger dessa tre aspekter en samlad bild av i vilken utsträckning regionernas arbete har varit väl utformat, ligger i linje med satsningens intentioner och lett till avsedda resultat.
Figur 2. De tre aspekter som vi utgår från i vår analys av ändamålsenligheten för regionernas insatser.

1.4.3 Hur har satsningen påverkat hälso- och sjukvårdssystemet samt patienterna?
I vårt uppdrag ingår det att utvärdera satsningen ur ett system- och patientperspektiv. Därför utgår vi också från den övergripande frågan hur satsningen har påverkat hälso- och sjukvårdssystemet samt patienterna i stort. Vi har valt att avgränsa vår analys av hälso- och sjukvårdssystemet till den kommunala hälso- och sjukvården. Avgränsningen beror på att den kommunala hälso- och sjukvården är en viktig mottagare av patienter som skrivs ut från slutenvården. Utifrån det har vi formulerat följande delfrågor:
- Hur påverkas den kommunala hälso- och sjukvården av vårdplatssituationen och regionernas arbete?
- Har vårdplatssituationen några konsekvenser för patienter?
Patientperspektivet belyste vi huvudsakligen i vår delrapport (Vård- och omsorgsanalys 2025c). Vi återkommer till det i våra slutsatser.
1.5 Rapportens metod och disposition
Här presenterar vi rapportens disposition, och vilka metoder vi har använt oss av i vårt analysarbete.
1.5.1 Rapportens disposition
Figur 3 visar hur rapporten är upplagd. Rapporten består totalt av sju kapitel.
Kapitel 2 analyserar satsningens måluppfyllelse genom att väga samman olika källor. Vi analyserar hur utvecklingen har sett ut för disponibla vårdplatser och andra relaterade mått, samt hur regionledningarna och vårdplatskoordinatorer ser på vårdplatssituationen 2025 jämfört med 2023.
Kapitel 3 och 4 analyserar den statliga styrningen. Kapitel 3 fokuserar på regeringens avsikt med satsningen, och hur satsningen förändrats över tid. Kapitel 4 fokuserar på Socialstyrelsens roll i den statliga styrningen, och hur regionerna ställt sig till deras arbete.
Kapitel 5 analyserar regionernas insatser. Kapitlet fokuserar på vad regionerna har gjort, och hur de arbetat med att välja ut och genomföra insatserna. Detta kapitel fokuserar också på bedömning av ändamålsenligheten utifrån aspekterna insatsernas inriktning och regionernas arbetssätt.
Kapitel 6 fokuserar på systemperspektivet, och beskriver patientflödet in och ut från slutenvården, samt hur den kommunala hälso- och sjukvården påverkas av vårdplatssituationen i slutenvården.
Figur 3. Rapportens disposition.

1.5.2 Metod
Vi har huvudsakligen utvärderat satsningen med hjälp av enkäter, intervjuer, analys av statistik och dokumentstudier. Figur 3 visar i vilka kapitel som vi huvudsakligen använder metoderna.
Enkäter
Vi har skickat ut två enkätundersökningar till olika representanter för regionerna och verksamheterna för att få en fördjupad bild av regionernas arbete och hur vårdplatssituationen är i dag jämfört med 2023.
En enkät vände sig till hälso- och sjukvårdsdirektörerna i alla regioner (ledningsenkäten). Där ställde vi frågor om olika dimensioner av ändamålsenlighet, fokusområden för insatserna, betydelsen av satsningen för vilka insatser regionerna genomfört samt frågor om Socialstyrelsens arbete. Vi skickade enkäten till hälso- och sjukvårdsdirektörerna i alla regioner, men skrev att den kunde vidarebefordras och besvaras av den eller de personerna med mest insyn i frågorna. 18 regioner svarade på enkäten. Mer information om enkäten finns i bilaga 1.
En annan enkät vände sig till vårdplatskoordinatorer eller personer med motsvarande arbetsuppgifter (vårdplatskoordinatorsenkäten). Syftet med enkäten var att få ett verksamhetsperspektiv på utvecklingen av vårdplatssituationen sedan 2023 och de insatser som genomförts. Vi fick in svar från 183 vårdplatskoordinatorer i 20 regioner, med varierande antal svar i olika regioner. Vi kan inte uttala oss om enkätens täckningsgrad, eftersom vi inte vet hur många vårdplatskoordinatorer eller liknande som arbetar i regionerna. Mer information finns i bilaga 2.
Intervjuer
Som ett komplement till ledningsenkäten har vi även genomfört 7 fördjupande intervjuer med totalt 10 personer som vi blev hänvisade till genom enkätsvaren. Intervjuerna genomfördes under hösten 2025 och fokuserade på att öka förståelsen av enkätsvaren och regionernas arbete inom satsningen.
Vi har även undersökt systemperspektivet genom 8 intervjuer med totalt 22 personer inom den kommunala hälso- och sjukvården. Intervjuerna gjordes med representanter från 6 olika kommuner. Som ett komplement har vi även gjort 3 intervjuer med 6 representanter för regionerna med insyn i samverkan mellan slutenvården och den kommunala hälso- och sjukvården.
Mer information om intervjuerna finns i bilaga 3.
Statistik
För att följa måluppfyllelsen, samt kartlägga patientflöden i slutenvården, har vi använt oss av tillgänglig statistik.
Vi har analyserat måluppfyllelsen genom att följa utvecklingen för ett antal indikatorer 2022–2024. I den mån det finns statistik redovisar vi även utvecklingen för 2025. Indikatorerna är hämtade från Socialstyrelsen samt SKR:s väntetidsdatabas Väntetider i vården och Verksamhetsstatistiken. Mer information om vår analys finns i bilaga 5.
Vi har även kartlagt patientflöden med hjälp av Socialstyrelsens Patientregister (PAR). Med hjälp av registret har vi studerat vårdtillfällen i slutenvården under 2023 för patienter 18 år och äldre. Vi har även studerat öppenvårdsbesök på akutmottagningen eller i den öppna specialistvården som skett 24 timmar innan ett vårdtillfälle i slutenvården.
Dokumentstudier
Regeringens styrning av satsningen har vi analyserat genom att studera regeringsuppdrag. Vi har även analyserat vilka insatser regionerna uppger i redovisningen av överenskommelsen om ökad tillgänglighet 2024, som ett komplement till ledningsenkäten. Vi har kodat insatserna som regionerna uppger och har även gett regionerna möjlighet att via mejl komplettera vilka insatser de har gjort. Mer information om kodningen av regionernas insatser finns i bilaga 4.
2 Måluppfyllelse
En del av vårt uppdrag är att utvärdera om målet med vårdplatssatsningen har uppnåtts. Satsningens ursprungliga mål var att öka antalet vårdplatser eller minska bristen på vårdplatser och det är de målen vi fokuserar på när vi ska utvärdera måluppfyllelsen. Utifrån ett patientperspektiv är det angeläget att minska bristen på vårdplatser på grund av risker för patientsäkerheten, och eftersom patienter som har upplevt brist på vårdplatser har sämre erfarenheter av sin vistelse i vården än andra patienter (Vård- och omsorgsanalys 2025c).
I det här kapitlet undersöker vi satsningens måluppfyllelse genom att följa utvecklingen för olika indikatorer som har koppling till vårdplatssituationen. Störst fokus är på den somatiska vården, eftersom en majoritet av vårdplatserna finns där, men vi skriver även kort om utvecklingen av vårdplatser för intensivvården och psykiatrin. Vi kompletterar statistiken med resultatet från två enkäter. Måluppfyllelse är en aspekt av hur vi bedömer ändamålsenligheten i regionernas insatser. I kapitel 1 och 5 beskriver vi alla aspekter av vår bedömning.
Våra viktigaste resultat:
- Det finns osäkerhet kring statistiken, och utvecklingen behöver därför tolkas med försiktighet.
- Om målet med satsningen är att öka antalet disponibla vårdplatser, tyder statistiken inte på att satsningen har bidragit till målet under 2022–2024.
- Vissa tecken tyder på att trenden möjligtvis vänder 2025, men det är svårt att dra slutsatser på grund av bortfall.
- Om målet med satsningen är att minska bristen på vårdplatser, ser utvecklingen något mer positiv ut när andra indikatorer än antalet vårdplatser är utgångspunkten.
- Bara tre av regionerna hade tillräckligt många vårdplatser 2024, enligt Socialstyrelsens riktvärde för antal disponibla vårdplatser för somatisk vård.
- Ledningen ger en mer positiv bild av utvecklingen än vårdplatskoordinatorerna i våra enkäter. Det tolkar vi som ett tecken på att de positiva förändringar som ledningen ser hittills märks i begränsad utsträckning ute i verksamheterna.
2.1 Svårt följa utvecklingen på grund av bristande datakvalitet
Utvecklingen av satsningens måluppfyllelse, det vill säga om antalet disponibla vårdplatser har ökat eller inte, är svår att följa eftersom datakvaliteten fortfarande är en källa till osäkerhet. I vår delredovisning (Vård- och omsorgsanalys 2025c) skrev vi om problemen med datakvaliteten, och konstaterade då bland annat att det finns skillnader mellan olika datakällor när det gäller täckningsgraden. Läs mer om datakvaliteten i avsnitt 2.4–2.5 i vår delredovisning eller bilaga 5. Under 2025 har dessutom flera regioner bytt vårdinformationssystem, vilket påverkat rapporteringar och medfört stora bortfall i registreringarna (SKR 2025b).
När vi ska redovisa statistik över antal vårdplatser använder vi i första hand statistik som Socialstyrelsen presenterar. Skälet är att vi vill kunna säga något om det riktvärde för antalet vårdplatser som Socialstyrelsen har arbetat fram, vilket gör att vi också behöver använda samma underliggande statistik för att jämförelserna mot riktvärdet ska bli relevanta.
I andra hand använder vi SKR:s verksamhetsstatistik. När vi redovisar utvecklingen av antalet disponibla vårdplatser inom den psykiatriska vården använder vi den. Eftersom både siffrorna från Socialstyrelsen och verksamhetsstatistiken publiceras årsvis, fanns det inga siffror för 2025 från dessa källor när vi gjorde vår analys. Vi kompletterar därför med uppgifter från SKR:s väntetidsdatabas för att fånga trenden som vi hittills kan se för 2025. Anledningen till att vi hellre använder verksamhetsstatistiken än SKR:s väntetidsdatabas för de år som det finns data från båda källorna är att täckningsgraden är lägre i väntetidsdatabasen än i verksamhetsstatistiken (Vård- och omsorgsanalys 2025c).
På grund av bristerna i datakvalitet har vi också valt att komplettera den offentliga statistiken med resultatet från enkäter till regionernas ledning och vårdplatskoordinatorer. Syftet med enkäterna är att se om bilderna från ledningen och vårdplatskoordinatorerna ligger i linje med varandra och med utvecklingen enligt statistiken.
2.2 Antalet somatiska vårdplatser har inte ökat
På nationell nivå har antalet vårdplatser inom somatisk vård inte ökat under perioden 2022–2024 enligt statistiken. I stället har det enligt Socialstyrelsens siffror blivit 118 disponibla vårdplatser färre. Antalet vårdplatser har minskat från 15 336 år 2022 till 15 218 år 2024 (Socialstyrelsen 2025f). Det innebär att antalet vårdplatser har minskat med cirka 0,8 procent under perioden. 2023 skedde en minskning med 78 disponibla vårdplatser och 2024 med 40 disponibla vårdplatser, figur 4.
Figur 4. Antalet disponibla vårdplatser inom somatisk slutenvård under 2022–2024.

Källa: Socialstyrelsen (2025f). Sifforna är exklusive vårdplatser inom intensivvården.
Det är fler regioner där antalet vårdplatser har minskat än där de har ökat. Vårdplatserna har minskat i 13 regioner och ökat i 7 när vi jämför antalet disponibla vårdplatser 2024 med antalet 2022 (figur 5).
Figur 5. Förändring i procent i antal disponibla somatiska vårdplatser när 2024 jämförs med 2022.

Källa: Uträkningar gjorda på statistik från Socialstyrelsen (2025f).
Det finns en viss variation mellan regionerna när det gäller storleken på förändringen, men för relativt många regioner är förändringarna mindre än 5 procent. För 11 regioner är förändringen mindre än 5 procent eller ingen alls, medan förändringen för 4 regioner är 10 procent eller större. Den största ökningen i procent är på 17 procent, medan den största minskningen är 12 procent när antalet somatiska vårdplatser 2024 jämförs med antalet 2022.
2.2.1 Svårt tolka utvecklingen för somatisk vård för 2025
Vi använder oss av data från SKR:s väntetidsdatabas, eftersom vi vill uttala oss om utvecklingen under 2025. På grund av bristerna i datakvalitet väljer vi att bara beskriva trenden för utvecklingen i stället för det exakta antalet vårdplatser. Resultaten ska tolkas med försiktighet. Vi har exkluderat 6 regioner från vår analys på grund av att de saknar data eller att deras data påverkas av byte av vårdinformationssystem under minst 6 månader.
Dessutom varierar täckningsgraden mellan regionerna, se tabell 40 i bilaga 5. Vi definierar regioner där täckningsgraden i SKR:s väntetidsdatabas för 2024 avviker maximalt 5 procent från verksamhetsstatistiken för 2024 som regioner med god täckningsgrad. Regioner som avviker mer än 5 procent definierar vi som regioner med sämre täckningsgrad. Vi inkluderar både regioner med god och sämre täckningsgrad, eftersom vi vill undersöka om det finns skillnader mellan grupperna.
Tabell 1 visar vilka regioner vi har inkluderat och exkluderat när vi undersöker utvecklingen för 2025. Det finns en risk att vi hade identifierat en annan trend om vi hade haft tillgång till data med god täckningsgrad för alla regioner för helåren 2024 och 2025.
Tabell 1. Regioner som inkluderas respektive exkluderas från vår analys för 2025, samt täckningsgraden för de regioner som ingår.
| Region | Ingår regionen? | Vilka månader ingår? | Täckningsgrad 2024 för väntetidsdatabasen jämfört med verksamhetsstatistiken |
| Blekinge | Ja | Januari–oktober | God |
| Dalarna | Ja | Januari–september | God |
| Gotland | Ja | Alla | God |
| Gävleborg | Nej | – | – |
| Halland | Nej | – | – |
| Jämtland Härjedalen | Ja | Alla | God |
| Jönköpings län | Ja | Alla | God |
| Kalmar län | Ja | Alla | God |
| Kronoberg | Ja | Alla | God |
| Norrbotten | Nej | – | – |
| Skåne | Ja | Januari–november | Sämre |
| Stockholm | Ja | Alla | Sämre |
| Sörmland | Ja | Januari–augusti | Sämre |
| Uppsala | Ja | Alla | Sämre |
| Värmland | Ja | Alla | God |
| Västerbotten | Nej | – | – |
| Västernorrland | Nej | – | – |
| Västmanland | Ja | Alla | Sämre |
| Västra Götaland | Ja | Alla | God |
| Örebro län | Nej | – | – |
| Östergötland | Ja | Alla | Sämre |
Detaljer om regionernas täckningsgrad framgår av tabell 40 i bilaga 5.
Osäkra tecken på förbättring under 2025 för somatiska vårdplatser
I 13 av de 15 regioner som ingår i vår analys har antalet vårdplatser ökat 2025 jämfört med 2024 för de månader som vi har data för. Det tyder på att trenden i viss mån har vänt till en positiv utveckling 2025.
Figur 6. Antalet regioner där antalet disponibla somatiska vårdplatser har ökat respektive minskat när antalet 2025 jämförs med 2024.

Källa: SKR:s väntetidsdatabas (2026b). Vi jämför antalet vårdplatser regionen hade under 2025 med antalet vårdplatser regionen hade samma månader under 2024. För vissa regioner ingår därför fler månader, medan det för andra regioner ingår färre månader. Tabell 1 visar hur många månader som ingår för respektive region.
Utvecklingen mot att antalet vårdplatser har ökat i en majoritet av regionerna gäller både för regioner med god täckningsgrad och regioner med sämre täckningsgrad. Det ser alltså ut som att det är vanligare att antalet vårdplatser ökar än att de minskar under 2025, för de månader som vi har data för.
Om vi i stället summerar antalet vårdplatser för de regioner som vi har data för och undersöker om det totala antalet vårdplatser har ökat eller minskat, ser vi däremot en skillnad i utveckling mellan regionerna med god och sämre täckningsgrad. I regionerna med god täckningsgrad har det totala antalet vårdplatser ökat, medan i regionerna med sämre täckningsgrad har det totala antalet vårdplatser minskat.
Den totala minskningen i gruppen regioner med sämre täckningsgrad beror på att antalet vårdplatser minskat i en enskild region. Den regionens minskning är nämligen större än de andra regionernas ökning. Det finns dock en extra stor osäkerhet för den regionens data, eftersom det är den region som hade lägst täckningsgrad för väntetidsdatabasen. Om vi lägger ihop det totala antalet vårdplatser för alla regioner som vi har data för, det vill säga både regionerna med god och sämre täckningsgrad, gör samma region att det totalt sett blir en minskning i antalet vårdplatser. Det beror på att minskningen i den regionen är större än den sammanlagda ökningen i regionerna där antalet vårdplatser ökade.
2.2.2 Antalet vårdplatser har inte ökat inom psykiatrin
På nationell nivå har antalet vårdplatser inom psykiatrin inte ökat. Enligt SKR:s verksamhetsstatistik har antalet disponibla vårdplatser i psykiatrin i stället minskat från 4 160 vårdplatser 2022 till 4 062 vårdplatser 2024. Det innebär att antalet vårdplatser har minskat med drygt 2 procent under 2022–2024 (figur 7).
Figur 7. Antalet disponibla vårdplatser inom den psykiatriska heldygnsvården under 2022–2024.

Källa: SKR:s verksamhetsstatistik (2025).
Utvecklingen varierar mellan verksamhetsområden. Inom allmänpsykiatrin och barn- och ungdomspsykiatrin (bup) har antalet disponibla vårdplatser minskat, medan de har ökat inom rättspsykiatrin. Inom allmänpsykiatrin minskade antalet vårdplatser från 2 700 vårdplatser 2022 till 2 559 vårdplatser 2024. Inom bup minskade vårdplatserna från 150 vårdplatser till 137 vårdplatser. Inom rättspsykiatrin ökade vårdplatserna från 1 310 vårdplatser till 1 366 vårdplatser. Eftersom minskningen inom allmänpsykiatrin och bup är större än ökningen inom rättspsykiatrin, blir det ändå en minskning för antalet vårdplatser inom psykiatrin som helhet.
Socialstyrelsen har inte tagit fram något riktvärde för antalet vårdplatser inom psykiatrin, eftersom Socialstyrelsen bedömde att det inte gick att ta fram ändamålsenliga riktvärden utifrån den nationellt tillgängliga datan (Socialstyrelsen 2023b). I framtiden planerar dock Socialstyrelsen att ta fram riktvärden för vårdplatser inom psykiatrin (Socialstyrelsen 2025d).
2.2.3 Svårt tolka utvecklingen för psykiatrin 2025
Vi valde att studera trenden för utvecklingen för 2025 genom att använda SKR:s väntetidsdatabas, eftersom siffrorna för 2025 inte hade hunnit publiceras för verksamhetsstatistiken. Men på grund av utmaningarna med datakvaliteten, behöver resultaten tolkas med försiktighet. På samma sätt som för den somatiska vården har vi fått exkludera 6 regioner från analysen av psykiatrin på grund av byte av vårdinformationssystem.
För psykiatrin är det ännu större variation i täckningsgraden mellan regioner när vi jämför SKR:s väntetidsdatabas för 2024 med verksamhetsstatistiken för 2024, se tabell 40 i bilaga 5. Det finns alltså ännu större behov av att tolka resultaten med försiktighet för psykiatrin än för den somatiska vården. Följaktligen finns även här en risk att vi skulle ha identifierat en annan trend om vi hade haft tillgång till bättre data. Tabell 2 beskriver vilka regioner vi har inkluderat i vår analys.
Tabell 2. Regioner som inkluderas respektive exkluderas från vår analys, samt täckningsgraden för de regioner som ingår.
| Region | Ingår regionen? | Vilka månader ingår? | Täckningsgrad 2024 för väntetidsdatabasen jämfört med verksamhetsstatistiken |
| Blekinge | Ja | Januari–oktober | God |
| Dalarna | Ja | Januari–september | God |
| Gotland | Ja | Alla | God |
| Gävleborg | Nej | – | – |
| Halland | Nej | – | – |
| Jämtland Härjedalen | Ja | Alla | God |
| Jönköpings län | Ja | Alla | God |
| Kalmar län | Ja | Alla | Sämre |
| Kronoberg | Ja | Alla | Sämre |
| Norrbotten | Nej | – | – |
| Skåne | Ja | Januari–juli, september–november | Sämre |
| Stockholm | Ja | Alla | Sämre |
| Sörmland | Ja | Januari–augusti | Sämre |
| Uppsala | Ja | Alla | Sämre |
| Värmland | Ja | Alla | Sämre |
| Västerbotten | Nej | – | – |
| Västernorrland | Nej | – | – |
| Västmanland | Ja | Januari–oktober | Sämre |
| Västra Götaland | Ja | Januari–oktober | God |
| Örebro län | Nej | – | – |
| Östergötland | Ja | Januari–oktober | God |
För detaljer om regionernas täckningsgrad se tabell 40 i bilaga 5.
Osäkra tecken på förbättring under 2025 för psykiatriska vårdplatser
Data i vår analys tyder på att antalet vårdplatser ökar i fler regioner än det minskar. Det gäller både bland regioner med god täckningsgrad och regioner med sämre täckningsgrad. Bland regioner med god täckningsgrad ökade antalet vårdplatser i 5 av de 7 regioner som ingår i analysen. Bland regionerna med sämre täckningsgrad ökade antalet vårdplatser i 5 av de 8 regioner som ingår.
Figur 8. Antalet regioner där antalet disponibla vårdplatser inom psykiatrin har ökat respektive minskat när antalet 2025 jämförs med 2024.

Källa: SKR:s väntetidsdatabas (2026c). Täckningsgraden för väntetidsdatabasen är väldigt låg för en del av regionerna som ingår, vilket gör att resultatet behöver tolkas med extra försiktighet. För att vi ska räkna något som en förändring behöver antalet vårdplatser per dag ha ökat eller minskat med minst 1 vårdplats.
2.3 Avståndet till riktvärdet har minskat lite för somatisk vård
Trots att antalet vårdplatser inom somatisk vård inte har ökat, bedömer Socialstyrelsen att avståndet till riktvärdet på kort sikt har minskat på nationell nivå (se figur 9). Förklaringen till det minskade avståndet på nationell nivå är främst att Socialstyrelsen bedömer att behovet av vårdplatser har minskat (Socialstyrelsen 2025f). Information om utvecklingen i respektive region finns i avsnitt 2.4.2. Mer information om Socialstyrelsens riktvärde för antal disponibla vårdplatser finns i faktarutan.
Socialstyrelsens riktvärde för antal disponibla vårdplatser
Socialstyrelsen räknar fram riktvärdet utifrån en metod som de har tagit fram. Riktvärden finns för både somatisk slutenvård och intensivvård. Enligt Socialstyrelsen (2023b, s. 87) har modellen ”utvecklats för att uppskatta regionernas vårdplatsbehov på ett så rättvisande sätt som möjligt” utifrån tillgängliga data. Samtidigt finns faktorer som kan bidra till att vårdplatsbehovet över- eller underskattas med metoden. Men Socialstyrelsen bedömer att faktorerna inte påverkar riktvärdet i någon större utsträckning (Socialstyrelsen 2023b). När Socialstyrelsen räknar fram riktvärdet utgår de från regionernas data för året innan, vilket innebär att riktvärdet i praktiken är en beräkning av hur många vårdplatser regionen behövde under det året datan hämtades ifrån, men ger samtidigt en riktning för behovet innevarande år som riktvärdet publiceras. Data hämtas för respektive region vilket då även fångar de arbetssätt och respektive regions olika förutsättningar som finns som påverkar vårdplatsbehovet. Det innebär att brister i datakvaliteten påverkar det framräknade riktvärdet (Socialstyrelsen 2025c). Socialstyrelsen har tagit fram riktvärde både på kort och medellång sikt, där medellång sikt syftar på cirka 5 år framåt i tiden (Socialstyrelsen 2023b). Mer information om hur regionerna ser på riktvärdet finns i avsnitt 4.4.1. Riktvärdena har uppdaterats under tre år och kommer uppdateras och publiceras för fjärde gången i juni 2026.
När vi skriver om riktvärdet väljer vi att främst fokusera på riktvärdet på kort sikt för somatisk slutenvård. Socialstyrelsen tar fram riktvärdet på kort sikt för somatisk slutenvård exklusive intensivvård genom att räkna ut hur mycket slutenvård som produceras i regionen i dag och hur mycket vårdtid regionen skulle behöva producera för att stärka tillgängligheten och patientsäkerheten. I slutenvårdsproduktionen som sker i dag ingår överbeläggningar och utlokaliseringar. Gällande vårdtid som skulle behövas för att stärka tillgänglighet och patientsäkerhet gör Socialstyrelsen dels justeringar utifrån hur mycket vård regionen skulle behöva producera för att inga patienter ska behöva vänta längre än vårdgarantin när det gäller somatisk slutenvård. Dels gör Socialstyrelsen justeringar utifrån antal patienter som får vänta längre än 4 timmar på akutmottagningen innan de skrivs in i slutenvården (Socialstyrelsen 2023b). Detta innebär att om en region har många patienter som väntar längre än 4 timmar på akuten innan inskrivning eller många patienter som väntar längre än vårdgarantin på slutenvård blir regionens riktvärde på kort sikt högre.
Att producerad vårdtid ingår i riktvärdet på kort sikt innebär att riktvärdet tar hänsyn till att skillnader i till exempel arbetssätt och organisation mellan regioner påverkar respektive regions vårdplatsbehov (Socialstyrelsen 2023b). Detta medför att om befolkningen i två regioner har samma vårdbehov, men den ena regionen gör vissa vårdåtgärder som öppenvård som den andra regionen gör som slutenvård skulle regionen som gör mer vårdåtgärder inom slutenvården ha ett högre uppskattat vårdplatsbehov på kort sikt enligt riktvärdet än regionen som gör mer vårdåtgärder inom öppenvården.
Figur 9. Riktvärdet på kort sikt och antal disponibla vårdplatser för somatisk vård under 2022–2024.

Källa: Socialstyrelsen (2025f).
Minskningen i riktvärdet har varit större än minskningen i antalet vårdplatser. Det innebär att nationellt har avståndet till riktvärdet på kort sikt minskat från 15 procent 2022 till 12 procent 2024 (Socialstyrelsen 2025f). Vi kan inte uttala oss om utvecklingen för 2025, eftersom Socialstyrelsen kommer publicera riktvärdet för 2025 i juni 2026 (Socialstyrelsen 2025d).
När vi jämför avståndet till riktvärdet 2024 med 2022 framgår det att 14 regioner har förbättrat sitt avstånd medan 6 regioner har försämrat sitt. 1 regions avstånd till riktvärdet är oförändrat, se tabell 4 i avsnitt 2.4.2. I förbättrat avstånd räknar vi både regioner som har minskat sitt underskott och regioner som enligt riktvärdet har ökat sitt överskott. Med underskott menar vi regioner som har färre vårdplatser än antalet som de skulle ha enligt riktvärdet på kort sikt, och med överskott menar vi regioner som har fler vårdplatser än riktvärdet på kort sikt. Det behöver inte innebära att verksamheten upplever att de har ett överskott på vårdplatser, utan visar bara hur antalet disponibla vårdplatser förhåller sig till riktvärdet.
Förbättringen speglas också i att antalet regioner med ett underskott på minst 15 procent vårdplatser har minskat samtidigt som antalet regioner som uppnår riktvärdet har ökat. År 2022 hade 10 regioner ett underskott på minst 15 procent, medan 6 regioner hade det 2024. År 2022 var det en region som inte hade vårdplatsbrist jämfört med 3 regioner 2024 (se figur 10). Men trots att antalet regioner med tillräckligt många vårdplatser enligt riktvärdet har ökat, är det fortfarande bara en sjundedel av regionerna som har tillräckligt många vårdplatser 2024. Dessutom hade fortfarande drygt en fjärdedel av regionerna ett vårdplatsunderskott på minst 15 procent 2024 enligt riktvärdet.
Figur 10. Antal regioner som har olika avstånd till riktvärdet 2022–2024.

Källa: Figuren utgår från siffrorna som finns i Socialstyrelsen (2023b, 2024a, 2025f). Vid några tillfällen för några regioner kommer vi fram till en annan procent för 2022 eller 2023 när vi gör uträkningen på de siffror som finns i Socialstyrelsen (2025f) och jämför med det avstånd i procent som uppges i Socialstyrelsen (2023b, 2024a). I alla fall utom ett har vi kommit fram till att skillnaden kan bero på avrundning och då har vi utgått från det avstånd i procent som uppges i Socialstyrelsen (2023b, 2024a). Men vid ett tillfälle för en region bedömer vi att orsaken till skillnaden inte kan vara avrundning och då utgår vi istället från den siffra som vi kommer fram till när vi gör beräkningar utifrån siffrorna i Socialstyrelsen (2025f).
2.3.1 Intensivvårdens avstånd till riktvärdet har minskat något
Även avståndet till riktvärdet på kort sikt för intensivvården har minskat lite. År 2022 var avståndet 12 procent, för att sedan sjunka till 11 procent 2023 och till 10 procent 2024 (figur 11).
Figur 11. Antal disponibla vårdplatser och riktvärdet för intensivvård på kort sikt.

Källa: Socialstyrelsen (2025f).
Avståndet till riktvärdet var mindre det år när antalet vårdplatser minskade än det år när antalet vårdplatser ökade. År 2023 ökade antalet vårdplatser och då var avståndet till riktvärdet 53,7 vårdplatser. År 2024 minskade i stället antalet vårdplatser, och samtidigt sjönk avståndet till riktvärdet till 43,7 vårdplatser. Det belyser att det är fler faktorer än antalet disponibla vårdplatser som påverkar vårdplatsbristen.
Minskningen i antalet vårdplatser 2024 var större än ökningen 2023. År 2022 fanns cirka 465,7 vårdplatser inom intensivvården. År 2023 ökade antalet vårdplatser med 6,3 vårdplatser, för att 2024 minska med 16,5 vårdplatser. Det innebär att det 2024 fanns cirka 455,5 vårdplatser. Om vi jämför antalet vårdplatser på intensivvården 2024 med antalet 2022, har det minskat med cirka 2 procent.
2.4 Svårt att säga hur den regionala jämlikheten påverkas
Det är svårt att dra slutsatser om utvecklingen går mot ökad regional ojämlikhet eller jämlikhet när det gäller antalet vårdplatser. Vi ser några tecken på att skillnaderna kan ha minskat något när vi använder riktvärdet för somatisk vård för att dela in regionerna i grupperna regioner med stort respektive litet avstånd till riktvärdet vid satsningens början. Däremot har det inte skett någon tydlig minskning i avståndet mellan regionen med det största överskottet och regionen med det största underskottet. Dock har vilken region som har störst underskott förändrats.
Vi placerar de regioner som hade ett underskott på minst 15 procent enligt riktvärdet på kort sikt för somatisk vård 2022 i gruppen regioner med stort avstånd till riktvärdet och regioner vars värde avvek mindre än 15 procent i gruppen regioner med litet avstånd. Gruppen med litet avstånd består av de 11 översta regionerna i figuren och gruppen med stort avstånd består av de 10 regionerna som finns nederst i figur 12.
Figur 12. Antalet disponibla vårdplatser inom somatisk vård som regionen har jämfört med riktvärdet på kort sikt.

Källa: Figuren utgår från siffrorna som finns i Socialstyrelsen (2023b, 2024a, 2025f). Vid några tillfällen för några regioner kommer vi fram till en annan procent för 2022 eller 2023 när vi gör uträkningen på de siffror som finns i Socialstyrelsen (2025f) och jämför med det avstånd i procent som uppges i Socialstyrelsen (2023b, 2024a). I alla fall utom ett har vi kommit fram till att skillnaden kan bero på avrundning och då har vi utgått från det avstånd i procent som uppges i Socialstyrelsen (2023b, 2024a). Men vid ett tillfälle för en region bedömer vi att orsaken till skillnaden inte kan vara avrundning och då utgår vi istället från den siffra som vi kommer fram till när vi gör beräkningar utifrån siffrorna i Socialstyrelsen (2025f).
2.4.1 Vårdplatserna minskar mer i regioner som är nära riktvärdet
Antalet vårdplatser har minskat mer i regionerna med litet avstånd till riktvärdet än i regionerna med stort avstånd. Det är tecken på en liten utjämnande effekt i antalet disponibla vårdplatser. I regioner med litet avstånd minskade vårdplatserna med 1,1 procent jämfört med 0,5 procent i regioner med stort avstånd.
Vi ser en liknande utveckling i antalet regioner där vårdplatserna har minskat. Det är vanligare att vårdplatserna har minskat i regioner med litet avstånd än i regioner med stort avstånd (se figur 13). Bland regioner med litet avstånd har 9 regioner minskat vårdplatserna, jämfört med 4 regioner med stort avstånd. Skillnaden beror på att det är vanligare att regioner med stort avstånd har ökat antalet vårdplatser än regioner med litet avstånd. Bland regioner med stort avstånd har 5 regioner ökat jämfört med 2 regioner med litet avstånd.
Figur 13. Antal regioner där antalet vårdplatser har ökat respektive minskat 2024 jämfört med 2022.

Källa: Uträkningar gjorda på siffror från Socialstyrelsen (2025f).
2.4.2 Avståndet till riktvärdet minskar mer i regionerna med stort avstånd
Avståndet till riktvärdet har minskat mer i regionerna med stort avstånd än i regionerna med litet avstånd. Det är tecken på en viss utjämnande effekt. År 2022 var avståndet till riktvärdet i gruppen med stort avstånd 24 procent och 2024 hade det sjunkit till 19 procent. I gruppen med litet avstånd är förändringen betydligt mindre. Där var avståndet 6 procent 2022 och sjönk till 5 procent 2024.
Om vi i stället studerar antalet regioner där avståndet till riktvärdet har förbättrats är det däremot i stort sett ingen skillnad mellan regionerna med stort och litet avstånd, se figur 14. 7 regioner har förbättrat avståndet och 3 regioner har försämrat det, både bland regioner med litet avstånd och regioner med stort avstånd.
Figur 14. Antal regioner som har förbättrat respektive försämrat sitt avstånd till riktvärdet 2024 jämfört med 2022.

Källa: Uträkningar gjorda på siffror från Socialstyrelsen (2023b, 2025f). Med förbättring avser vi både regioner som har minskat sitt underskott och regioner som har ökat sitt överskott enligt riktvärdet.
Att avståndet till riktvärdet förändras kan antingen bero på att det uppskattade behovet av vårdplatser förändras, det vill säga att riktvärdet förändras, eller att antalet disponibla vårdplatser förändras eller en kombination av båda. Tabell 3 visar hur riktvärdet respektive antalet disponibla vårdplatser har förändrats i varje region, och om förändringarna inneburit att avståndet till riktvärdet har förbättrats eller försämrats. Vi räknar det som en förbättring om regionerna har minskat sitt underskott av vårdplatser enligt riktvärdet eller om regionerna har ökat sitt överskott av vårdplatser enligt riktvärdet.
Tabell 3. Förändring i avstånd till riktvärdet 2024 jämfört med 2022.

Källa: Uträkningar gjorda på Socialstyrelsen (2023b, 2025f). För att det ska räknas som en förändring i uppskattat vårdplatsbehov ska det ha förändrats med minst 0,5 procent.
Det är vanligare att förbättringar i avståndet till riktvärdet beror på att antalet vårdplatser har ökat bland regioner med stort avstånd till riktvärdet. Bland regioner med litet avstånd är det i stället vanligare att förbättringar i avståndet till riktvärdet beror på att det uppskattade behovet av vårdplatser har minskat. Bland de 7 regionerna med litet avstånd där avståndet har förbättrats har det uppskattade behovet av vårdplatser minskat i 6 regioner, medan antalet disponibla vårdplatser bara har ökat i 1 region. Bland de 7 regionerna med stort avstånd där avståndet har förbättrats ökade antalet vårdplatser i 5 av regionerna och det uppskattade behovet av vårdplatser minskade i 4.
2.4.3 Relativt oförändrat avstånd mellan regionen med störst underskott och regionen med störst överskott enligt riktvärdet
Avståndet mellan regionen med det största underskottet i förhållande till riktvärdet och regionen med det största överskottet i förhållande till riktvärdet är relativt oförändrat när vi jämför 2024 med 2022. Men vilken region som har störst underskott har dock förändrats. År 2022 hade Region Östergötland störst underskott på 30 procent, medan Region Kalmar län hade störst överskott på 9 procent jämfört med riktvärdet. År 2024 var det i stället Region Västerbotten som hade störst underskott på 28 procent medan Region Kalmar län fortfarande var regionen med störst överskott på 10 procent. Anledningen till att det har skett en förändring i vilken region som har störst underskott är att Region Östergötland har minskat sitt underskott medan Region Västerbotten har ökat sitt.
2.5 Tecken på positiv utveckling för andra indikatorer
Att riktvärdet har minskat trots att vårdplatserna inte har ökat talar för att det är andra faktorer som har bidragit till att minska vårdplatsbristen. I det här avsnittet ger vi en översikt av utvecklingen av sex andra indikatorer som är relaterade till vårdplatser. Indikatorerna kommer från Socialstyrelsen (2025f), men tre av indikatorerna har vi valt att komplettera med data även för 2025 från SKR:s väntetidsdatabas. Socialstyrelsen (2025f) har fler indikatorer, men vi har valt dem som ger information om vårdplatssituationen eller som påverkar in- eller utflödet till slutenvården på ett tydligt sätt. Vi har valt bort indikatorer som saknar data för 2024, som fokuserar på intensivvård eller vars koppling till in- och utflödet är mer indirekt, till exempel kontinuitetsindex för primärvården.
2.5.1 Samtliga indikatorer visar en positiv trend för 2024
Tabell 4 visar utvecklingen för sex indikatorer när vi jämför 2024 med 2023, samt trenden för 2025 för tre av indikatorerna. Alla sex indikatorer har utvecklats positivt 2024, medan trenden är mer blandad för 2025.
Tabell 4. Indikatorernas utveckling för riket 2024 jämfört med 2023.

Källa: För år 2023 och 2024 har vi använt siffror från Socialstyrelsen (2025f). För 2025 har vi gjort uträkningar på data från SKR:s väntetidsdatabas. För vissa regioner finns avvikelser i datan, se Socialstyrelsen (2025f). Några av siffrorna för överbeläggningar, utlokaliseringar och utskrivningsklara skiljer sig åt från de siffror vi presenterar i senare figurer. Orsaken är att vi i tabellen redovisar siffrorna från Socialstyrelsen, medan vi i de senare figurerna har gjort egna uträkningar med siffror från SKR:s väntetidsdatabas.
Både överbeläggningar och utlokaliseringar är mått som kan ge en indikation på om det råder vårdplatsbrist. De visar att det inte finns tillräckligt många tillgängliga vårdplatser på den avdelning där patienten skulle behöva vårdplats. Följaktligen är överbeläggningar och utlokaliseringar också viktiga mått utifrån ett patientperspektiv. Tabell 4 visar att antalet överbeläggningar och utlokaliseringar har minskat 2024. För 2025 ser vi däremot tecken på att utlokaliseringar i stället börjar utvecklas i negativ riktning. Men för överbeläggningar ser det ut som att den positiva trenden med färre överbeläggningar fortsätter 2025. Vi går närmare in på det i avsnitt 2.5.2 och 2.5.3.
Ett sätt att minska antalet överbeläggningar och utlokaliseringar är att minska inflödet, genom att patienterna får vänta längre på vård. Vi ser inga tecken på det för 2024. Varken indikatorn patienter som fått vänta längre än vårdgarantin eller indikatorn besök där patienten fått vänta mer än 4 timmar på akutmottagningen har ökat. Vi ser däremot att indikatorn vårdtillfällen med påverkbar slutenvård för patienter över 65 år har minskat, vilket skulle kunna ha minskat inflödet. Det är även i sig självt positivt för patienten om vårdtillfällen med påverkbar slutenvård minskar, eftersom det innebär att patienter mindre ofta behöver läggas in i slutenvården för sådant som hade kunnat förebyggas eller behandlas på andra sätt.
Ett annat sätt att minska överbeläggningar och utlokaliseringar är att öka utflödet. I indikatorn vårdplatser belagda av utskrivningsklara patienter ser vi att andelen utskrivningsklara patienter har minskat, vilket talar för att det skulle kunna vara en bidragande orsak till att överbeläggningar och utlokaliseringar har minskat. Enligt Socialstyrelsens termbank är en utskrivningsklar patient en patient som behandlande läkare bedömer inte längre behöver slutenvård. Det innebär att måttet vårdplatser belagda med utskrivningsklara patienter visar hur stor andel av vårdplatserna som är belagda med patienter som läkare bedömer inte längre behöver slutenvård.
Men det finns även andra faktorer som inte fångas av indikatorerna i tabellen som skulle kunna ha påverkan på antalet överbeläggningar och utlokaliseringar. I intervjuer med regionföreträdare frågade vi efter möjliga förklaringar till att överbeläggningar och utlokaliseringar har minskat nationellt under 2024 trots att vårdplatserna inte har ökat. Vi har fått flera olika förslag på potentiella förklaringar. Till exempel bättre samarbeten mellan olika specialiteter, förbättringar inom primärvården, arbete med att patienter ska vara på rätt plats, att medicinsk utveckling kan korta vårdtiderna, bättre samarbete med kommunala hälso- och sjukvården, poliklinisering, att behovet av vård har förändrats samt att vem som registreras som utlokaliserad patient kan ha förändrats.
2.5.2 Överbeläggningarna ökade 2023 för att sedan minska
I början av satsningen utvecklades antalet överbeläggningar i fel riktning, men trenden ser ut att ha vänt. Under 2024 och även 2025 ser det ut som att indikatorn utvecklades enligt satsningens intentioner (se figur 15).
Figur 15. Antal överbeläggningar inom somatisk vård per 100 disponibla vårdplatser.

Siffrorna för 2025 är extra osäkra på grund av bortfall. Information om hur vi räknar ut nationellt värde respektive medelvärde samt information om bortfall finns i bilaga 5.
Antalet överbeläggningar ökade 2023, för att sedan minska 2024 och minskningen ser även ut att fortsätta under 2025. Det gäller oavsett om värdet på nationell nivå eller medelvärdet är utgångspunkten. I figuren inkluderar vi data för alla regioner. Men vi ser att antalet överbeläggningar ökade 2023 för att sedan minska 2024 och 2025 även om vi exkluderar regioner med stort bortfall och bara inkluderar de 15 regioner som har data för nästan alla månader eller om vi inkluderar de 11 regioner som har data för alla månader.
2.5.3 Utlokaliseringarna minskade 2023–2024 och ökade 2025
Under de två första åren av satsningen utvecklades utlokaliseringarna enligt satsningens intentioner, men trenden ser ut att ha vänt under 2025. Under både 2023 och 2024 minskade antalet utlokaliseringar, men för 2025 ökade de i stället. Vi ser samma mönster oavsett om vi inkluderar alla regioner, de 15 regionerna som har data för nästan alla månader eller de 11 regioner som har data för alla månader. Trots att antalet utlokaliseringar ser ut att ha ökat under 2025 är antalet utlokaliseringar per 100 disponibla vårdplatser fortfarande lägre 2025 än 2022 och 2023.
Figur 16. Antal utlokaliseringar inom somatisk vård per 100 disponibla vårdplatser.

Källa: SKR:s väntetidsdatabas (2026d). Siffrorna för 2025 är extra osäkra på grund av bortfall. Information om hur vi räknar ut nationellt värde respektive medelvärde samt information om bortfall finns i bilaga 5.
2.5.4 Andelen utskrivningsklara minskade från och med 2024
Andelen vårdplatser som är belagda med utskrivningsklara patienter minskade från och med 2024. Det ser ut som att trenden fortsätter under 2025.
Samtidigt finns det osäkerhet på grund av bortfall 2025. Om vi utgår från alla regioner eller de 19 regioner som har data för nästan alla månader, ser det ut som att andelen utskrivningsklara patienter minskar oavsett om det nationella värdet eller medelvärdet är utgångspunkten. Om vi däremot bara inkluderar de 11 regioner som har data för alla månader, ser det ut som att det sker en minskning för medelvärdet men inte för det nationella värdet.
Figur 17. Andelen somatiska vårdplatser som är belagda med utskrivningsklara patienter.

Källa: SKR:s väntetidsdatabas (2026a).Siffrorna för 2025 är extra osäkra på grund av bortfall. Information om hur vi räknar ut nationellt värde respektive medelvärde samt information om bortfall finns i bilaga 5.
Enligt Socialstyrelsen (2025f) minskade andelen vårdplatser som är belagda med utskrivningsklara patienter i riket från 5,1 procent 2023 till 1,7 procent 2024. Det är en minskning på 3,4 procentenheter, vilket är en betydligt större minskning än den minskning vi ser i våra data. Vi bedömer att Socialstyrelsens siffror för 2024 är oväntat låga.
En möjlig förklaring till skillnaden mellan Socialstyrelsens och våra data skulle kunna vara att någon eller några regioner har uppdaterat sina siffror efter att Socialstyrelsen hämtade data och innan vi hämtade den. Men oavsett förklaring tyder båda källorna på att andelen vårdplatser som är belagda av utskrivningsklara patienter minskade 2024. Följaktligen skulle en lägre andel vårdplatser som är belagda av utskrivningsklara patienter vara en möjlig bidragande orsak till att överbeläggningarna och utlokaliseringarna minskade 2024.
2.6 Regionledningarna och vårdplatskoordinatorerna har olika bild av utvecklingen
Vi har fångat perspektiv från regionernas ledningar och vårdplatskoordinatorer genom två enkäter. I resten av det här kapitlet redogör vi för resultaten från de enkäterna. Vi beskriver metoden närmare i avsnitt 1.6.2 och bilaga 1 och 2.
Sammantaget ser vi att regionledningarna ofta ger en positiv bild av utvecklingen. De flesta regioner bedömer att möjligheterna att tillgodose behovet av slutenvård är bättre i dag än 2023 och att även förutsättningarna framåt är goda. Vårdplatskoordinatorernas övergripande bild är att situationen inte har förbättrats sedan 2023, utan snarare förvärrats. Samtidigt rör det sig om ett litet underlag, så resultaten bör tolkas med försiktighet.
Vårdplatskoordinatorerna upplever utvecklingen något mindre negativt i de regioner där ledningen uttrycker en positiv bild eller där antalet vårdplatserna blivit fler. Det tyder på att vårdplatskoordinatorerna i viss mån märker av den utveckling som ledningen upplever. Men de verkar ha märkt av förändringen relativt lite, vilket tyder på att det inte tydligt märks ute i verksamheterna där kontakterna med patienterna sker.
2.6.1 Ledningen ser förbättrade möjligheten att tillgodose slutenvårdsbehovet
En majoritet av regionerna i ledningsenkäten uppger att de bedömer att regionens möjlighet att tillgodose behovet av slutenvård är bättre i dag än 2023. I 13 regioner bedömer de att möjligheterna att tillgodose behovet av slutenvård är bättre i dag (se figur 18). 4 regioner uppger att möjligheterna är ungefär detsamma, medan bara 1 region uppger att möjligheterna har blivit sämre.
Figur 18. Antal regioner som bedömer att regionens möjlighet att tillgodose behovet av slutenvård är bättre eller sämre i dag än 2023.

Källa: Vård- och omsorgsanalys ledningsenkät 2025.N: 18. Frågan var: På det stora hela, hur bedömer du att regionens möjlighet att tillgodose behovet av slutenvård är i dag jämfört med 2023?
Även när det gäller förutsättningarna framåt är ledningen i en majoritet av regionerna positiv (se figur 19). 10 regioner uppger att det finns mycket eller ganska goda förutsättningar att öka kapaciteten i slutenvården de närmaste två åren. 5 regioner anser att det är lika delar goda och dåliga förutsättningar. Bara 1 region anser att de har ganska dåliga förutsättningar och 1 region uppger att de varken har några planer på att öka kapaciteten eller vårdplatserna.
Figur 19. Antal regioner som uppger att det finns goda respektive dåliga förutsättningar att öka kapaciteten i slutenvården de närmaste två åren.

Källa: Vård- och omsorgsanalys ledningsenkät 2025.N: 17. Frågan var: Hur goda eller dåliga förutsättningar finns det att öka kapaciteten för slutenvård i din region de närmsta två åren?
2.6.2 Vårdplatskoordinatorerna har en mer negativ bild
För att få ytterligare perspektiv på utvecklingen skickade vi ut en enkät till landets vårdplatskoordinatorer. Vårdplatskoordinatorer arbetar ofta på sjukhus och kan bemannas av personer från olika professioner. I vår undersökning var de flesta undersköterskor. Rollen kan vara administrativ till sin karaktär, med arbetsuppgifter som att följa upp och utvärdera utvecklingen av vårdplatser, men den kan även vara att praktiskt fördela vårdplatser till patienter som kommer från akuten eller andra avdelningar.
Bland de som svarat på vår enkät arbetar knappt hälften med att varje dag fördela vårdplatser och ungefär en fjärdedel arbetar dagligen med uppföljning av vårdplatser på strategisk nivå. En tredjedel har andra arbetsuppgifter utöver arbetet med vårdplatser.
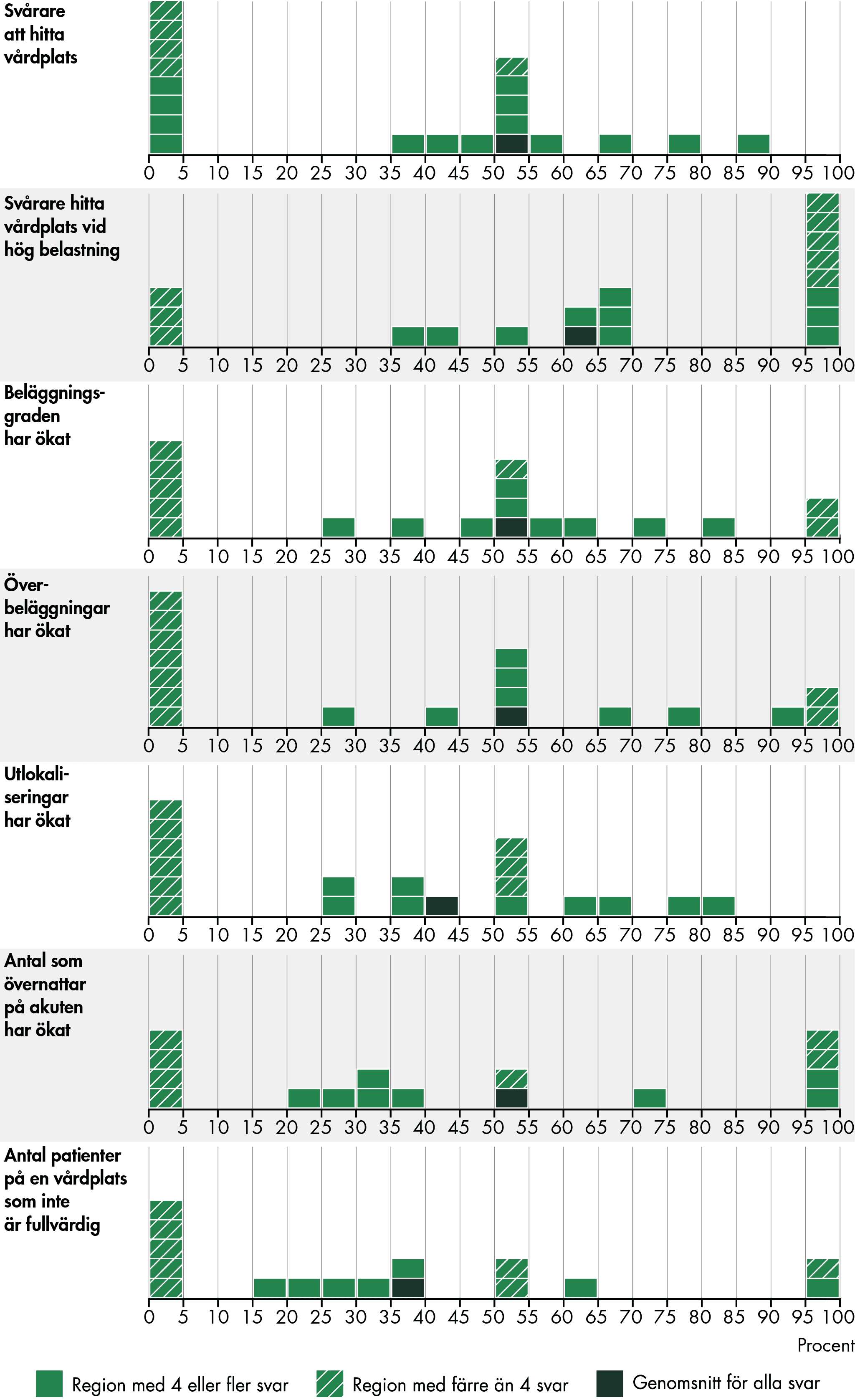
Vi fångar den upplevda utvecklingen med sju mått
I enkäten till vårdplatskoordinatorerna ställde vi frågor om hur de upplever situationen i dag och hur de upplever förändringen sedan 2023 på sju områden:
- möjligheten att hitta vårdplats generellt
- möjligheten att hitta vårdplats i perioder av hög belastning, som semesterperioder, högt inflöde av patienter på grund av infektionstoppar eller högsäsong
- beläggningsgraden
- antalet överbeläggningar
- antalet utlokaliseringar
- patienter som är placerade på en vårdplats som inte är fullvärdig under hela eller delar av sin sjukhusvistelse, till exempel att de vårdas i ett provisoriskt utrymme, som på en bår i en korridor eller ett kontor
- patienter som behöver stanna över natten på akuten.
Tillsammans ger de en övergripande bild av hur vårdplatskoordinatorerna upplever utvecklingen av vårdplatssituationen som kompletterar statistiken och ledningens bild. Resultaten beskriver den upplevda utvecklingen och ska tolkas med försiktighet.
I resten av det här kapitlet redogör vi för resultaten från dessa frågor och hur de samvarierar med ledningens uppfattning och statistiken om vårdplatser.
Många upplever att det har blivit svårare att hitta en vårdplats än 2023
Nästan hälften av vårdplatskoordinatorerna upplever att det har blivit svårare att hitta en vårdplats än 2023. I enkäten uppger 47 procent det. Något färre, cirka 40 procent upplever att det inte är någon skillnad i hur lätt eller svårt det är, medan bara 10 procent upplever att det hade blivit lättare (se figur 20). Det är små skillnader i resultat mellan svaren från vårdplatskoordinatorer i storstadsregioner och svaren från vårdplatskoordinatorer i de andra regionerna.
Figur 20. Andelen vårdplatskoordinatorer som upplever att det blivit lättare eller svårare att hitta en vårdplats generellt eller i perioder av hög belastning än 2023.

Källa: Vård- och omsorgsanalys vårdplatskoordinatorsenkät 2025.Frågorna var: Jämfört med 2023, hur lätt eller svårt upplever du att det har blivit att hitta en vårdplats till den som har behov av det? Jämfört med 2023, hur lätt eller svårt upplever du att det har blivit att hitta en vårdplats till den som har behov av det i perioder med hög belastning? N: 126 och 125.
I perioder av hög belastning, som under semesterperioden, infektionstoppar eller högsäsong upplever en större andel att det blivit svårare än 2023. 60 procent upplever att det har blivit svårare i sådana situationer, och bara 5 procent upplever att det har blivit lättare (se figur 20). Vårdplatskoordinatorer utanför storstadsregionerna upplever oftare att det har blivit svårare. I storstadsregionerna upplever knappt hälften att det har blivit svårare att hitta vårdplatser under perioder med hög belastning jämfört med tre fjärdedelar i de andra regionerna.
Många upplever att utvecklingen går åt fel håll
Betydligt fler vårdplatskoordinatorer upplever att överbeläggningar, beläggningsgrad och utlokaliseringar har ökat än minskat (se figur 21). Runt hälften upplever att överbeläggningarna har ökat och nästan lika stor andel upplever att beläggningsgraden har ökat. Samtidigt upplever bara 7 procent att överbeläggningar har minskat och 4 procent att beläggningsgraden har minskat. För utlokaliseringar upplever 38 procent att utlokaliseringarna har ökat och 10 procent att de har minskat.
Figur 21. Andelen vårdplatskoordinatorer som upplever att beläggningsgrad, överbeläggningar, utlokaliseringar och antal patienter som vårdas på en vårdplats som inte är fullvärdig har ökat eller minskat jämfört med 2023.

Källa: Vård- och omsorgsanalys vårdplatskoordinatorsenkät 2025. Frågorna var: Jämfört med 2023, hur upplever du att följande generellt har utvecklats på sjukhuset där du arbetar? Jämfört med 2023, hur har antalet patienter som är placerade på en vårdplats som inte är fullvärdig under hela eller delar av sin sjukhusvistelse generellt utvecklats? N: 120 och 118.
Runt fyra av tio upplever att överbeläggningar, beläggningsgrad respektive utlokaliseringar är på ungefär samma nivå som 2023.
Vårdplatsbristen kan också påverka om patienterna blir inlagda på fullvärdiga vårdplatser. En tredjedel av vårdplatskoordinatorerna uppger att det är ungefär samma antal patienter som placeras på en vårdplats som inte är fullvärdig nu som 2023. 26 procent uppger att det har ökat, medan 11 procent uppger att antalet har minskat (figur 21).
Vi ser relativt små skillnader i mönster mellan svaren från vårdplatskoordinatorer i storstadsregionerna och vårdplatskoordinatorer i de andra regionerna när det gäller utvecklingen av beläggningsgraden, överbeläggningar, utlokaliseringar och antalet patienter som placeras på en vårdplats som inte är fullvärdig.
Mest utmanande utveckling för internmedicinska vårdplatser
Resultaten är mer utmanande för de internmedicinska avdelningarna än för de geriatriska och kirurgiska avdelningarna (figur 22). De internmedicinska avdelningarna är ett av de två områdena där högst andel uppger att de upplever att det har blivit svårare att hitta en vårdplats, samtidigt som lägst andel uppger att det har blivit lättare.
Figur 22. Andelen vårdsplatskoordinatorer som uppger att det har blivit lättare eller svårare att hitta en vårdplats på olika typer av avdelningar än 2023.

Källa: Vård- och omsorgsanalys vårdplatskoordinatorsenkät 2025.Frågan var: Jämfört med 2023, hur lätt eller svårt upplever du att det har blivit att hitta en vårdplats på följande typer av avdelningar? N: 119, 117 och 123.
En nästan lika stor andel upplever att det har blivit svårare att hitta en vårdplats för de internmedicinska och geriatriska avdelningarna, runt 44 procent uppger det. Däremot upplever en lägre andel att det har blivit lättare att hitta vårdplatser för de internmedicinska än för de geriatriska avdelningarna: 4 procent jämfört 18 procent. För de kirurgiska avdelningarna upplever nästan lika många att det har blivit svårare som att det är oförändrat: 32 procent upplever att det har blivit svårare medan 36 procent upplever att det har förblivit ungefär det samma.
Det finns vissa skillnader i svaren från vårdplatskoordinatorer i storstadsregionerna och vårdsplatskoordinatorer i de andra regionerna. För de geriatriska vårdplatserna och de internmedicinska vårdplatserna ger en högre andel negativa svar bland vårdplatskoordinatorerna i de andra regionerna än i storstadsregionerna. För de kirurgiska vårdplatserna är det tvärtom, där ger en högre andel av vårdplatskoordinatorerna i storstadsregionerna negativa svar.
2.6.3 Vårdplatskoordinatorer något mindre negativa i regioner där ledningen är positiv eller vårdplatserna ökat
Generellt ser vi att i regioner där ledningen tycker att möjligheterna att tillgodose behovet av vårdplatser är bättre i dag än 2023 har även vårdplatskoordinatorerna en mindre negativ bild av utvecklingen. Detsamma gäller i regioner där ledningen uppgett att de arbetat med att förbättra specifika mått. Resultaten beskriver upplevda samband och ska tolkas med försiktighet.
Vi har också undersökt hur vårdplatskoordinatorernas upplevelse av förändringar i vårdplatssituationen skiljer sig beroende på utvecklingen av antalet vårdplatser, avståndet till riktvärdet och det uppskattade behovet av vårdplatser enligt riktvärdet.
Vi ser att i regioner där antalet disponibla vårdplatser har ökat sedan 2022, är vårdplatskoordinatorer något mindre negativa. Vi ser inte samma mönster mellan vårdplatskoordinatorernas upplevelse och utvecklingen av avståndet till riktvärdet eller det uppskattade behovet av vårdplatser.
När ledningen är mer positiv är vårdplatskoordinatorerna något mindre negativa
I ledningsenkäten ställde vi frågor om hur möjligheterna att tillgodose behovet av slutenvård förändrats jämfört med 2023. Här jämför vi vårdplatskoordinatorernas upplevda förändringar mellan regioner där ledningen har olika bilder av möjligheterna. Sammantaget visar resultaten att vårdplatskoordinatorernas bild av utvecklingen är något mindre negativ i regioner där ledningen uppger att möjligheterna att möta behovet av slutenvård har förbättrats än i regioner där ledningen uppger att möjligheterna är oförändrade eller sämre (figur 23).
Figur 23. Genomsnittlig andel vårdplatskoordinatorer som angett svaret, efter ledningens uppskattning av möjligheten att tillgodose behovet (procent).

Källa: Vård- och omsorgsanalys ledningsenkät 2025 och vårdplatskoordinatorsenkät 2025. Frågorna till vårdplatskoordinatorer finns i figur 20 och 21. Frågan till ledningen finns i figur 18.
I regioner där ledningen anser att möjligheterna att tillgodose behovet av slutenvård är bättre i dag än 2023 upplever en lägre andel av vårdplatskoordinatorer att det har blivit svårare att hitta vårdplats både överlag och i perioder med hög belastning.
Samma mönster återkommer för alla våra mått på vårdplatskoordinatorernas bild av utvecklingen jämfört med 2023. Något lägre andel vårdplatskoordinatorer upplever att beläggningsgraden, överbeläggningarna och utlokaliseringarna har ökat i regioner där ledningen uppger att möjligheter att möta behovet av slutenvård är bättre i dag. När det gäller beläggningsgraden och överbeläggningar är skillnaderna dock mindre än för utvecklingen att hitta vårdplatser.
Även när det gäller patienter som övernattar på akutmottagning och som är placerade på vårdplatser som inte är fullvärdiga återkommer samma mönster. Vårdplatskoordinatorerna upplever oftare en negativ utveckling i regioner där ledningen anger att möjligheterna att möta behovet av slutenvård är oförändrade eller försämrade.
Vårdplatskoordinatorer är något mindre negativa i regioner där man arbetat med insatser
Vi frågade regionernas ledningar om de har arbetat med olika insatser för att förbättra bland annat beläggningsgrad, överbeläggningar och utlokaliseringar. Resultaten visar att vårdplatskoordinatorerna är något mer positiva till utvecklingen i de regioner där sådana insatser har genomförts oftare.
Andelen vårdplatskoordinatorer som uppger att beläggningsgraden har ökat skiljer sig åt mellan regioner beroende på hur regionledningen bedömer sitt arbete med att minska beläggningsgraden. I regioner där ledningen anger att arbetet bedrivits i hög utsträckning uppger 43 procent av vårdplatskoordinatorerna att beläggningsgraden har ökat. Motsvarande andel är 56 procent i regioner med ganska hög grad och 67 procent i regioner med ganska låg grad av sådant arbete. Vi ser liknande mönster med ungefär lika stora skillnader i regioner där man arbetat med att minska överbeläggningar. I regioner som svarat att de arbetat med insatser kopplat till utlokaliseringar ser vi att nära 17 procent av vårdplatskoordinatorerna i regioner som i hög utsträckning arbetat med detta svarat att utlokaliseringar minskat jämfört med 6 procent i regioner där man arbetat i ganska hög utsträckning.
Vi ser inte ett tydligt mönster i regioner som arbetat med insatser som ska öka antalet vårdplatser och hur vårdplatskoordinatorerna upplever utvecklingen för hur lätt eller svårt det är att hitta en vårdplats, generellt eller vid hög belastning. Det är en viss skillnad som tyder på att vårdplatskoordinatorer tycker att det blivit lättare att hitta en vårdplats i regioner som i hög utsträckning arbetar med att öka vårdplatserna men skillnaderna är mycket små.
I enkäten till regionernas ledning ställdes inga direkta frågor om insatser kopplade till att minska antalet patienter som övernattar på akuten eller som är placerade på en fullvärdig vårdplats.
Mindre negativ bild av utvecklingen i regioner där vårdplatser ökat
Vi har även undersökt hur vårdplatskoordinatorerna upplever utvecklingen av måtten i regioner med olika utveckling av antalet vårdplatser, avstånd till riktvärdet och uppskattat behov av vårdplatser enligt riktvärdet. Sammantaget finns det genomgående men små skillnader i vårdplatskoordinatorernas upplevelser mellan regioner där vårdplatser minskat och där de ökat (figur 24).
Figur 24. Genomsnittlig andel vårdplatskoordinatorer som angett svaret efter utvecklingen av vårdplatser i regionen (procent).

Källa: Vård- och omsorgsanalys vårdplatskoordinatorsenkät 2025 och uträkning baserat på siffror från Socialstyrelsen (2025e). Frågorna till vårdplatskoordinatorer finns i figur 20 och 21. Uträkningen framgår av tabell 3.
I regioner där antalet vårdplatser har ökat svarar en lägre andel vårdplatskoordinatorer att det har blivit svårare att hitta vårdplats än i regioner där antalet vårdplatser har minskat. Även när det gäller perioder med hög belastning upplever något fler vårdplatskoordinatorer i regioner med minskat antal vårdplatser att situationen har blivit svårare.
Vi ser liknande mönster för de andra måtten på utvecklingen sedan 2023. Något lägre andel vårdplatskoordinatorer upplever att beläggningsgraden, utlokaliseringarna och förekomsten av vårdplatser som inte är fullvärdiga har ökat i regioner där antalet vårdplatser har ökat. Skillnaderna är genomgående små och uppgår till omkring 5 procentenheter. För överbeläggningar och antal patienter som övernattar på akutmottagning ser vi inga tydliga skillnader.
Vi ser inte samma mönster mellan vårdplatskoordinatorernas upplevelse av utvecklingen och avståndet till riktvärdet eller det uppskattade behovet.
3 Statlig styrning av satsningen
Bristen på vårdkapacitet i slutenvården är en angelägen fråga, och konsekvenserna kan bli allvarliga för patienter som inte får vård på rätt plats, i rätt tid (IVO 2023; Sjukhusläkaren 2024). Det är viktigt att regionerna får förutsättningar av den statliga styrningen att arbeta ändamålsenligt för att uppnå målen med vårdplatssatsningen, särskilt eftersom hälso- och sjukvården också måste arbeta med andra viktiga omställningar och satsningar parallellt.
I det här kapitlet besvarar vi frågan om hur den statliga styrningen av satsningen har sett ut. Vår utgångspunkt är att beskriva satsningen utifrån ett antal dimensioner för ändamålsenlig statlig styrning. Dessa dimensioner skapar förutsättningar för regionerna att i sin tur arbeta ändamålsenligt med att uppnå satsningens mål. Vi beskriver och analyserar styrningens utveckling och ändamålsenlighet från 2023 till nutid utifrån dokumentstudier, och svaren från våra intervjuer.
Våra viktigaste resultat:
- Satsningen har förändrats med tiden. Kärnuppdragen syftade både till att öka vårdplatserna och minska vårdplatsbristen. Uppdragen är avslutade i dag, men arbetet från dem lever vidare i senare uppdrag.
- Både målen och fokus för satsningen har breddats med tiden – från vårdplatser till vårdens kapacitet. Vår bild är att regionerna generellt är positiva till den förändringen.
- Satsningen berör ett känt problemområde inom den somatiska hälso- och sjukvården.
- Satsningen består både av kunskapsstyrning och ekonomisk styrning. Sammantaget ser vi att regionerna har behövt hantera många styrsignaler inom satsningen.
3.1 Grundförutsättningarna har förändrats över tid
Regeringens satsning på att öka antalet vårdplatser inleddes 2023, och sedan dess har det skett en utveckling i satsningens huvudsakliga fokus – från vårdplatser till ett bredare fokus på vårdens kapacitet. Det har bland annat skett genom en förändrad ekonomisk styrning, och en breddning av vad satsningen ska uppnå. För att analysera den statliga styrningen utifrån våra dimensioner för ändamålsenlighet behöver vi först känna till hur satsningen har utvecklats över tid.
3.1.1 Kärnuppdragen har avslutats
Under 2023 och 2o24 omfattade satsningen omkring 2 miljarder kronor per år, vilket innefattade både medel för att minska antalet överbeläggningar och utlokaliseringar samt medel till Socialstyrelsens arbete (Vård- och omsorgsanalys 2025c).
I vår delrapport (Vård- och omsorgsanalys 2025c) bedömde vi vårdplatssatsningens kärnuppdrag som dels Socialstyrelsens uppdrag att ta fram ett förslag till en nationell plan för att minska vårdplatsbristen (Socialdepartementet 2023b), dels uppdraget att fördela medel för att minska antalet överbeläggningar och utlokaliseringar (Socialdepartementet 2023a, 2024c). Båda uppdragen avslutades under 2024, och togs vidare på andra sätt. Till exempel ska arbete kopplat till den nationella planen fortgå inom uppdraget att bidra till att stärka samt följa upp tillgängligheten och vårdkapaciteten på regional och nationell nivå (Socialdepartementet 2024a).
För mer information om kärnuppdragen, se faktarutan.
Uppdrag att ta fram förslag till en nationell plan för att minska vårdplatsbristen
Socialstyrelsen har haft i uppdrag att föreslå en nationell plan för att minska bristen på disponibla vårdplatser och öka antalet vårdplatser där det behövs (Socialdepartementet 2023b). Uppdraget resulterade i rapporten Plats för vård som bestod av 160 förslag på insatser till regioner, kommuner och staten för att minska vårdplatsbristen inom slutenvården. Rapporten publicerades 2024 (Socialstyrelsen 2024a).
Uppdrag att fördela medel
Under 2023 och 2024 hade Socialstyrelsen i uppdrag att fördela 1,99 miljarder kronor för respektive år till regionerna som har rapporterat data om bland annat överbeläggningar och utlokaliseringar till Socialstyrelsen respektive Sveriges Regioner och Kommuner (SKR), samt minskat antalet överbeläggningar och utlokaliseringar jämfört med samma månad året innan. Rubriken på dessa uppdrag är Uppdrag att fördela, betala ut och följa upp medel för att öka antalet disponibla vårdplatser, men eftersom det är överbeläggningar och utlokaliseringar som styr fördelningen och inte vårdplatser (Socialdepartementet 2023a, 2024c), benämner vi dessa medel som medel för att minska överbeläggningar och utlokaliseringar.
Alla regioner fick ta del av medel både under 2023 och 2024. Men antalet krav som regionerna uppfyllde varierade. År 2024 uppfyllde 16 regioner kraven för utlokaliseringar alla månader som ingick, och 9 regioner klarade kraven för överbeläggningar för samtliga månader. Generellt uppfylldes prestationskraven oftare 2024 än 2023. 14 regioner uppfyllde fler prestationskrav 2024 än 2023 medan 3 regioner uppfyllde fler krav 2023 än 2024. Resterande 4 regioner uppfyllde lika många krav 2023 som 2024 (Vård- och omsorgsanalys 2025c).
Sedan den 1 januari 2025 gäller förordningen (2024:1252) om statsbidrag till regioner för stärkt tillgänglighet och ökad vårdkapacitet inom den specialiserade hälso- och sjukvården. Förordningen ersatte Socialstyrelsens uppdrag att fördela prestationsbaserade medel för att minska antalet överbeläggningar och utlokaliseringar. Förordningen ersatte även överenskommelsen mellan regeringen och SKR om ökad tillgänglighet i hälso- och sjukvården.
Förordningen innebär att bidrag får lämnas till regioner för prestationsbundna insatser för att korta vårdköerna genom att stärka tillgängligheten, öka vårdkapaciteten samt förbättra kompetensförsörjningen och arbetsmiljön. Under 2025 har cirka 5,9 miljarder kronor fördelats till regionerna i det syftet (Socialstyrelsen 2025b). Under 2026 finns det cirka 5 miljarder kronor som ska fördelas till regionerna (Socialstyrelsen 2026a).
För att få ta del av statsbidraget för 2025 har regionerna behövt delta i en dialog med Socialstyrelsen för att fastställa vilka insatser som ska genomföras och hur de ska följas upp, teckna en överenskommelse med Socialstyrelsen om insatser och förväntade resultat, samt ta fram en produktionsplan för den specialiserade vården i regionen (Socialstyrelsen 2025a). Under 2026 ska regionerna inte stämma av insatserna med Socialstyrelsen och teckna en överenskommelse istället ska regionerna skriftligt ange vilka insatser som regionen ska genomföra under 2026 inom ramen för statsbidraget. Regionen ska även kunna lämna in en produktionsplan för den specialiserade vården (Socialstyrelsen 2026a). Gällande återrapportering för statsbidraget ska regionerna lämna in ekonomisk redovisning, produktionsplan och information om resultatet av insatserna. Detta gäller både för medlen 2025 och 2026 (Socialstyrelsen 2025a, 2026a).
I och med det nya statsbidraget för tillgänglighet och vårdkapacitet sker det en förflyttning från regeringsuppdrag som huvudsakligen fokuserar på vårdplatser till uppdrag som fokuserar på tillgänglighet och kapacitet i bredare bemärkelse. Förflyttningen innebär också ett ökat inflytande för regionerna och Socialstyrelsen, som tillsammans ska fastställa insatser och mål i stället för att regeringen pekar ut mål med hjälp av regeringsuppdrag eller dylikt.
På presskonferensen om satsningen på att korta vårdköer och öka vårdens kapacitet motiverades förändringen till en statsbidragsförordning som ett sätt att skapa långsiktighet och tydlighet i den statliga styrningen (Regeringskansliet 2025). Utifrån regionintervjuerna bedömer vi att regionerna generellt är positivt inställda till fokusförflyttningen. Även om många regioner upplever vårdplatsfrågan som angelägen hänger den samman med andra aspekter inom hälso- och sjukvårdssystemet, till exempel öppenvårdens kapacitet, som kan motivera ett bredare fokus på vårdens kapacitet.
3.2 Statlig styrning påverkar regionernas förutsättningar att arbeta ändamålsenligt
En ändamålsenlig statlig styrning ger regionerna bättre förutsättningar att själva agera på ett ändamålsenligt sätt för att uppnå målet med satsningen. I det här avsnittet beskriver vi satsningen utifrån ett antal dimensioner för ändamålsenlig statlig styrning. Analyserna baseras på intervjuer med regionsrepresentanter och dokumentstudier.
3.2.1 Vi beskriver styrningen utifrån sju dimensioner
Vi har formulerat ett antal dimensioner inom den statliga styrningen som kan främja regionernas arbete med att uppnå satsningens mål. Dimensionerna är baserade på rekommendationerna i Vård- och omsorgsanalys rapport I rätt riktning? (Vård- och omsorgsanalys 2022).
De sju dimensionerna är: förberedande arbete, förankring, mål, verktyg, koordinering, prioriteringar samt framförhållning och långsiktighet. Mer information om dimensionerna finns i faktarutan.
Figur 25. Dimensioner för ändamålsenlig styrning.

Förberedande arbete
Syftet med ett förberedande arbete är att motverka att satsningen ska upplevas som felriktad sett i förhållande till hälso- och sjukvårdens behov och utmaningar, eller upplevas vara i konflikt med andra stora utvecklingsområden. Utan förberedande analys riskerar även valet av styrmedel att baseras på andra aspekter än vad som vore mest effektivt sett till målet. I förlängningen kan dessa aspekter leda till att det är svårare att förankra satsningen hos mottagarna, något som senare kan påverka genomförandet av satsningen negativt.
Riktade statsbidrag saknar en tydlig och transparent process för beredning i regering eller riksdag. Till skillnad från juridisk styrning i form av lagstiftning saknar riktade statsbidrag olika former av förarbeten, där förberedande analyser genomförs (Riksrevisionen 2022). Därför kan det variera till vilken grad förberedande arbete har genomförts inför en satsning med riktade statsbidrag.
Förankring
Att en satsning är förankrad hos mottagarna är viktigt för att skapa samstämmighet hos viktiga aktörer i en satsning om vad som ska göras och varför. Förankring kan skapas genom att involvera aktörerna som är föremål för satsningen i förarbetet och utformningen av satsningen.
Mål
Med ett definierat mål i en satsning blir det möjligt för alla involverade att ha en gemensam bild om vad arbetet ska leda till, och möjliggör att löpande se att alla involverade arbetar i samma riktning. Tydligt formulerade och uppföljningsbara mål är också en central förutsättning för att kunna utvärdera om en satsning har haft effekt eller inte (Vård- och omsorgsanalys 2022).
Verktyg
Statlig styrning kan bestå av olika former av styrmedel, och grunden i riktade statsbidrag är styrning genom ekonomiska incitament som ska främja ett visst ändamål eller utveckling i en specifik riktning. Det finns även andra former av verktyg, som kunskapsunderlag, granskning och juridisk styrning. Att välja rätt verktyg för att främja satsningens mål är en del av styrningens ändamålsenlighet.
Att slå fast vilka styrmedel som är bäst lämpade för att uppnå satsningens mål kan vara en del av det förberedande arbetet. Men i praktiken saknas det ofta analyser av vilka styrmedel som är bäst lämpade för syftet (Vård- och omsorgsanalys 2022).
Koordinering
För att en satsning ska vara ändamålsenlig är det viktigt att styrsignalerna inom satsningen är koordinerade inom och utanför satsningen. På så sätt kan regionerna mer effektivt använda sina resurser, och det blir tydligare vid uppföljning hur de olika styrsignalerna tagits emot.
Prioriteringar
Riksrevisionen har konstaterat att de statsbidrag som betalas ut är mycket olika varandra i syfte, verksamhet, krav samt under hur lång tid och på vilket sätt ersättningen betalas ut (Riksrevisionen 2016). Det finns en risk att de många styrsignalerna försvårar regionernas prioriteringar mellan andra satsningar och internt utvecklingsarbete. Ändamålsenlig statlig styrning behöver minska risken att de riktade statsbidragen påverkar regionernas prioriteringar på ett oönskat sätt, till exempel genom att tränga undan annan viktig utveckling.
Framförhållning och långsiktighet
För att regionerna ska ha bästa möjliga förutsättningar att ta emot en satsning, och att satsningen ska få långvarig effekt, är det viktigt att riktade statsbidrag införs med framförhållning och med potential för långsiktighet. Det finns en oförutsägbarhet i riktade statsbidrag, eftersom de omprövas varje år. Att bidrag kan vara långsiktiga, men i praktiken ofta omprövas försvårar regionernas planering (Riksrevisionen 2016).
3.3 Förberedande arbete och förankring: Satsningen berör ett känt problemområde
I det här avsnittet analyserar vi i vilken mån det förekommit förberedande arbete och förankring inom regeringens satsning. Satsningen riktar in sig på ett känt problemområde för somatisk vård, trots att regeringen inte verkar ha gjort någon strukturerad behovsanalys. Det är också ett område som regionerna arbetade med redan innan satsningen började. För psykiatrin är det inte lika självklart att en vårdplatssatsning behövs och därför hade det varit särskilt viktigt att genomföra en behovsanalys innan satsningen.
3.3.1 Satsningen inom somatisk vård saknar strukturerad analys
Vi har inte sett att satsningen har föregåtts av något särskilt förberedande arbete från statligt håll. Samtidigt berör satsningen ett område där det förekommit signaler på utmaningar sedan tidigare. I projektdirektiven till regeringsuppdragen till Socialstyrelsen inom satsningen nämns både resultatet från IVO:s tillsyn och antalet överbeläggningar och utlokaliseringar per 100 disponibla vårdplatser som en anledning till uppdragen (Socialdepartementet 2023a, 2023b).
Vi kan inte se att satsningen på att öka antalet vårdplatser har föregåtts av en strukturerad behovsanalys, eller att det finns beskrivningar av horisontella prioriteringar eller val av styrmedel. Men även om det inte finns en strukturerad behovsanalys, finns det många källor som pekar på att kapacitetsbrist länge har varit ett problem inom svensk hälso- och sjukvård. Länge låg huvudfokus i diskussionen på hur bristande kapacitet leder till försämrad tillgänglighet i form av långa väntetider på vård. Delegationen för ökad tillgänglighet i hälso- och sjukvården skrev i sitt slutbetänkande 2022 att vårdplatsbrist och hög beläggningsgrad är en bidragande faktor till de väntetidsproblem som råder i Sverige (SOU 2022:22).
Vårdplatsbristens konsekvenser analyserades utifrån ett patientsäkerhetsperspektiv i SNS-rapporten Hur påverkas patientsäkerheten av överbelastade akutmottagningar och vårdplatsbrist? (af Ugglas 2021). Rapporten tog fasta på att det låga antalet vårdplatser ledde till överbelastade akutmottagningar och ökade risker för patientsäkerheten. En liknande bild gav IVO i sin tillsyn av akutsjukhusen som inleddes 2022 (IVO 2023). De konstaterade att vårdplatsbrist ledde till överbelastade akutmottagningar där patienter fastnar i väntan på en vårdplats, och att vård och behandling inte har kunnat ges i tid.
Viktigt att kartlägga behovet inom den specialiserade psykiatrin
Medan det finns flera signaler om vårdplatsbrist eller bristande kapacitet inom den specialiserade somatiska slutenvården är det svårare att uttala sig om behoven inom den specialiserade psykiatriska heldygnsvården.
Vi vet att det finns stora kapacitetsutmaningar inom den specialiserade psykiatrin, framför allt inom den öppna specialiserade vården. Till exempel söker allt fler psykiatrisk vård, och det är långa köer i väntan på utredningar (SKR 2025a). Men om man studerar den slutna specialiserade vården specifikt, är det svårare att få en tydlig bild av utmaningarna. I Plats för vård konstaterar Socialstyrelsen att det inte råder samma generella brist på vårdplatser inom allmänpsykiatrin som inom den somatiska vården, men att det råder vårdplatsbrist inom rättspsykiatrin (Socialstyrelsen 2024a).
Samtidigt visar vår delrapport att det är vanligt att medicinskt ansvariga sjuksköterskor (MAS) och medicinskt ansvariga för rehabilitering (MAR) i kommunerna upplever att slutenvården inte kan tillgodose behovet av vårdplatser för patienter i behov av psykiatrisk vård. På samma gång såg vi att psykiatrin generellt fick sämre resultat än den somatiska vården på enkätfrågorna till MAS och MAR, vilket är ett tecken på att de problem som MAS och MAR upplever med psykiatrin inte bara gäller antalet vårdplatser inom heldygnsvården (Vård- och omsorgsanalys 2025c).
Vi ser att beläggningsgraden varierar kraftigt mellan regionerna, vilket tyder på att vårdplatssituationen kan se väldigt olika ut i olika regioner. En vårdplatssatsning kan alltså ligga i linje med behoven i vissa regioner, medan andra regioner framför allt ser kapacitetsutmaningar i öppenvården.
Det finns tecken på vårdplatsbrist inom psykiatrin, men det är svårt att fastställa hur stor den är. De här kunskapsluckorna gör det förberedande arbetet med att definiera utmaningarna inom den psykiatriska slutenvården viktigt, för att statliga satsningar ska träffa rätt utifrån regionernas behov.
3.3.2 Regionerna har arbetat med frågan innan satsningen
Våra intervjuer med regionrepresentanter bekräftar bilden av att satsningen rör ett känt problemområde. I intervjuerna lyfter regionerna att de redan innan regeringens satsning upplevde att det fanns brister inom vårdens kapacitet, och att de arbetat aktivt med frågan. Representanternas bild bekräftas av det faktum att insatsförslagen i Plats för vård är utvalda, eftersom de ligger i linje med den redan pågående utvecklingen i svensk hälso- och sjukvård. Flera av insatserna är helt eller delvis införda i vissa verksamheter, men inte överallt (Socialstyrelsen 2024a).
Bilden från våra intervjuer är att de flesta regioner under de senaste åren har haft som ambition att öka antalet vårdplatser, och även framåt tror att det kommer finns ett behov av fler disponibla vårdplatser. De säger att det har varit viktigt att arbeta med dessa frågor på grund av att det har betydelse för patientsäkerheten och arbetsmiljön inom regionens verksamheter. Det framkommer också i intervjuerna att behovet av fler vårdplatser inom den psykiatriska slutenvården varierar mellan olika regioner.
Sammantaget ser vi att det övergripande syftet med satsningen speglar kända utmaningar i regionerna. Däremot ser vi mer spridda åsikter i våra intervjuer om Socialstyrelsens riktvärden för antal vårdplatser (se avsnitt 4.4.1). Det är svårt att säga i vilken utsträckning mer arbete med förankring av riktvärdena hade kunnat göra så att dessa invändningar hade försvunnit.
3.4 Mål: Målen i satsningen har breddats
Över tid har satsningen fått mindre tydligt definierade och mätbara mål från regeringen. Samtidigt har Socialstyrelsen fått större utrymme att vara med och formulera mål och hur de ska följas upp. Det är en konsekvens av övergången från att huvudsakligen fokusera på att öka antalet disponibla vårdplatser, till att öka vårdens kapacitet. Men även en konsekvens av övergången från ett statsbidrag där alla regioner skulle uppfylla samma krav till ett statsbidrag där varje region enskilt ska komma överens med Socialstyrelsen om vilka insatser den ska göra.
3.4.1 Satsningen består av uppdrag med olika mål
Satsningen på att öka antalet vårdplatser är ett paraply för flera regeringsuppdrag som inletts under perioden 2023–2025. Den sammantagna bilden av regeringsuppdragen är att även om satsningen inledningsvis benämns som en satsning på att öka antalet vårdplatser, förekommer det flera olika målformuleringar i uppdragen. Efter 2024 sker det dessutom en förflyttning, där uppdragen oftare talar om att öka vårdkapaciteten än vårdplatser.
Tabell 5. Sammanställning av hur målen formuleras i de uppdrag som är relevanta för satsningen.
| Uppdrag eller förordning | År då regeringen tog beslut om det | Syfte enligt uppdraget |
| Uppdrag att fördela, betala ut och följa upp medel för att öka antalet disponibla vårdplatser | 2023 och 2024 | ”[-] ökning av antalet disponibla vårdplatser” |
| Uppdrag att ta fram förslag till en nationell plan för att minska bristen på vårdplatser inom hälso- och sjukvården | 2023 | ”[-] minska bristen på disponibla vårdplatser, dels öka antalet disponibla vårdplatser där det behövs.” |
| Förordning 2024:1252 om statsbidrag till regioner för stärkt tillgänglighet och ökad vårdkapacitet inom den specialiserade hälso- och sjukvården | 2024 | ”[-] syfte att stärka tillgängligheten och öka vårdkapaciteten inom den specialiserade hälso- och sjukvården.” ”[-] korta vårdköerna i den specialiserade hälso- och sjukvården genom att 1. stärka tillgängligheten, 2. öka vårdkapaciteten, och 3. förbättra kompetensförsörjningen och arbetsmiljön.” |
| Uppdrag att bidra till att stärka samt följa upp tillgängligheten och vårdkapaciteten på regional och nationell nivå | 2024 | ”[-] bidra till att stärka samt följa upp hälso- och sjukvårdens tillgänglighet och kapacitet, bl.a. i fråga om väntetider, antalet disponibla vårdplatser samt beläggningsgrad.” |
| Utbetalning av medel till regionerna för att stärka den specialiserade psykiatriska vården för barn och unga respektive vuxna | 2025 | ”för att stärka den specialiserade psykiatriska vården för barn och unga respektive vuxna” ”Av dessa medel ska 250 miljoner kronor riktas till att utöka antalet vårdplatser i vuxenpsykiatrin, 200 miljoner kronor riktas till att öka antalet platser för självvald inläggning på avdelning” |
Källa: Socialdepartementet (2023a, 2024a, 2024c, 2025).
Kärnuppdragen syftar både till att öka vårdplatserna och minska vårdplatsbristen
I satsningens kärnuppdrag vill man dels minska bristen och öka antalet disponibla vårdplatser, dels minska överbeläggningar och utlokaliseringar. För att regionerna ska få ta del av medlen behövde de minska antalet överbeläggningar och utlokaliseringar samt rapportera in data. Det innebär att regeringen har utryckt att syftet med medlen är att öka antalet vårdplatser, men i praktiken har medel delats ut för andra åtgärder än att öka antalet vårdplatser. Under 2023–2024 fanns det alltså mål för regionerna kopplade till medlen, men inget som direkt fokuserade på att öka antalet disponibla vårdplatser.
I uppdraget till Socialstyrelsen att ta fram en nationell plan för att minska bristen på vårdplatser är syftet både att minska bristen på disponibla vårdplatser och öka antalet disponibla vårdplatser där det behövs. Projektdirektivet pekar alltså ut två delvis överlappande riktningar genom att fler vårdplatser kan vara ett sätt att minska vårdplatsbristen. Samtidigt är inriktningarna inte helt överlappande, eftersom det även går att genomföra andra typer av åtgärder för att minska vårdplatsbristen till exempel arbete med att försöka minska behovet.
Under 2024 avslutades kärnuppdragen, och ersattes av förordningen om statsbidrag till regioner för stärkt tillgänglighet och ökad vårdkapacitet inom den specialiserade hälso- och sjukvården. Samtidigt fick Socialstyrelsen ett ramuppdrag att stärka och följa upp tillgänglighet och vårdkapacitet.
Vårdkapacitet i fokus i nya förordningen
Avslutandet av kärnuppdragen har inneburit att fokus har flyttats från vårdplatser till vårdkapacitet och tillgänglighet. Medan kärnuppdragen pekar ut en ökning av antalet disponibla vårdplatser som mål nämns inte vårdplatser i förordningen om statsbidrag till regioner för stärkt tillgänglighet och ökad vårdkapacitet inom den specialiserade hälso- och sjukvården. Förordningen ger inte heller en detaljerad definition av begreppet vårdkapacitet, eller vilka konkreta mål som finns.
Syftet med förordningen är att regionerna ska stärka tillgängligheten och öka vårdkapaciteten inom den specialiserade hälso- och sjukvården. Regionerna kan få prestationsbaserade statsbidrag för att genomföra insatser för att korta vårdköerna genom att stärka tillgängligheten, öka vårdkapaciteten, förbättra kompetensförsörjningen och arbetsmiljön. I förordningen är vårdplatser en delmängd av vårdens kapacitet, men vårdens kapacitet är ett bredare begrepp som även inkluderar insatser inom den öppna specialiserade vården. Fokus har alltså breddats från disponibla vårdplatser inom den slutna hälso- och sjukvården till den specialiserade hälso- och sjukvården.
Målen för regionernas fortsatta arbete konkretiseras vidare i Socialstyrelsens ramuppdrag att stärka samt följa upp tillgängligheten och vårdkapaciteten på regional och nationell nivå. Socialstyrelsen får i uppdrag att ”i dialog med regionerna definiera nationella och gemensamma målnivåer för beläggningsgrad och vårdkapacitet”, där vårdkapacitet till exempel kan vara tillgänglighet, väntetider, antal disponibla vårdplatser och beläggningsgrad. Uppdraget utgår från de mål- och riktvärden för antalet vårdplatser och beläggningsgrad som tidigare har tagits fram av Socialstyrelsen (Socialdepartementet 2024a). Socialstyrelsen erbjuder också regionerna stöd i form av förslag på fokusområden och insatser i Plats för vård, men sammantaget har de fria händer att välja vad de ska arbeta med.
Vi ser att det inom satsningen har funnits tydligt målsatta och mätbara mål – dels för antalet överbeläggningar och utlokaliseringar under perioden 2023–2024, dels Socialstyrelsens riktvärde för antalet disponibla vårdplatser. Förflyttningen mot att öka vårdens kapacitet i stället för vårdplatser har inneburit att målen från den statliga styrningen i vissa aspekter blir mindre tydliga och likriktade. Detta eftersom varje region ska sluta en överenskommelse med Socialstyrelsen om vilka insatser de ska göra i stället för att alla regioner ska uppfylla krav kopplade till överbeläggningar och utlokaliseringar för att få medel. Samtidigt kommer Socialstyrelsen fortsätta med att ta fram riktvärde för antal disponibla vårdplatser.
Direkt fokus på att öka antalet psykiatriska vårdplatser
Vi konstaterar att målen med satsningen har blivit mindre specifika och att vårdplatser har blivit en mer underordnad delmängd sedan 2024 till förmån för att fokusera på vårdens kapacitet. Men för psykiatrin ser den utvecklingen ut att ske något senare. För vårdplatser inom den psykiatrisk slutenvården har regeringen för 2025 genom ett regeringsuppdrag till Kammarkollegiet avsatt medel som ska riktas till att öka antalet vårdplatser (Socialdepartementet 2025), se tabell 5.
Däremot ser vi tecken på ökat fokus på vårdkapacitet 2026. I början av 2026 gav regeringen nämligen ”Socialstyrelsen i uppdrag att genomföra nationella utvecklingsinsatser för att stödja regionerna i arbetet med att stärka den specialiserade psykiatriska vården för vuxna med särskilt fokus på ökad vårdkapacitet”. Enligt uppdraget ska Socialstyrelsen bland annat betala ut medel till regionerna. I uppdraget nämns vårdplatser som ett sätt att öka vårdkapaciteten, men även att stärka akutpsykiatriska verksamheter nämns som sätt att öka vårdkapaciteten (Socialdepartementet 2026).
3.4.2 Regionerna är positiva till fokusförflyttningen
Den sammantagna bilden från våra intervjuer med regionerna är att de är positiva till fokusförflyttningen från vårdplatser till vårdkapacitet. Bland annat lyfter några regioner fram att vårdkapaciteten som helhet är viktigast och att vårdplatserna är en av delarna i vårdkapacitet.
När vi har frågat regionerna vad de själva har haft störst fokus på ser vi en viss spridning. Vissa regioner lyfter fram att de har fokuserat på kapacitet. Till exempel nämner någon att det viktiga är att regionen tillhandahåller vården som patienterna behöver och inte antalet vårdplatser. Andra lyfter fram att de har fokuserat på vårdplatser, eftersom det är en viktig del i vårdkapaciteten. Det finns också några regioner som beskriver att de har ökat fokus på vårdkapacitet till skillnad från tidigare när de haft större fokus på vårdplatser. Men det finns även någon region som beskriver att de fokuserat på vårdkapacitet en längre tid och att förflyttningen på nationell nivå innebär ett steg i deras riktning.
Trots ökat fokus på kapacitet på nationell nivå har de flesta regioner vi intervjuat fortfarande som ambition att öka antalet disponibla vårdplatser. De flesta beskriver att deras region har ambitionen att fortsätta att öka antalet disponibla vårdplatser eller att de tror att det kommer finns ett behov av fler vårdplatser.
3.5 Verktyg: Den statliga styrningen består av ekonomiska styrmedel och kunskapsstyrning
Den statliga styrningen består av olika verktyg som kan användas för att främja satsningens mål. I vår delrapport (Vård- och omsorgsanalys 2025c) konstaterade vi att regeringens satsning på att öka antalet vårdplatser består av mjuka styrmedel. Det bygger på att regionerna är motiverade att göra det som regeringen vill att de ska göra och har förutsättningar att göra det, eller att regeringen ger dem incitament att agera.
I det här stycket undersöker vi vilka incitament och verktyg som styrningen ger till att uppnå satsningens mål.
3.5.1 Prestationsbaserade ekonomiska styrmedel för regionerna
Under 2023–2024 avsatte regeringen totalt cirka 4 miljarder kronor till regionerna i prestationsbaserade medel för att minska antalet överbeläggningar och utlokaliseringar, samt rapportera in data.
Under 2025 har Socialstyrelsen fått i uppdrag att fördela pengar inom statsbidraget till regioner för stärkt tillgänglighet och ökad vårdkapacitet inom den specialiserade hälso- och sjukvården. Inom statsbidraget är 2,1 miljarder ett fast belopp som fördelas lika mellan regionerna, medan 3,8 miljarder fördelas efter befolkningsmängd. Även det här statsbidraget är prestationsbaserat. För att en region ska få ta del av medlen, behöver den uppfylla följande villkor:
- Regionen ska ha deltagit i dialog med Socialstyrelsen, för att fastställa vilka insatser som ska genomföras och hur insatserna ska följas upp.
- Regionen ska ha tecknat en överenskommelse med Socialstyrelsen om insatser och förväntade resultat.
- Regionen ska ha tagit fram en produktionsplan för den specialiserade vården i regionen (Socialstyrelsen 2025a).
För regionerna finns det alltså ekonomiska incitament som sträcker sig från 2023 och framåt, men målet och vad regionerna ska prestera har förändrats.
Vid sidan av dessa prestationsbaserade medel har det 2025 också tillkommit särskilda medel som fokuserar på att öka antalet vårdplatser inom den specialiserade psykiatrin. Det rör sig om 250 miljoner kronor för att utöka antalet vårdplatser inom vuxenpsykiatrin, och 200 miljoner för att öka antalet platser för självvald inläggning. Kammarkollegiet ska betala ut medlen till regionerna (Socialdepartementet 2025).
3.5.2 Socialstyrelsen ger stöd genom kunskapsstyrning
I vår delrapport (Vård- och omsorgsanalys 2025c) konstaterade vi att ett annat viktigt verktyg för den statliga styrningen i satsningen är kunskapsstyrning, där bland annat Socialstyrelsens arbete med rapporten Plats för vård spelade en central roll.
Socialstyrelsen har haft en fortsatt viktig roll för kunskapsstyrningen under 2025 genom sina stöd- och utbildningsinsatser till regionerna. Regionerna rapporterar i hög utsträckning att de använt sig av Socialstyrelsens kunskapsunderlag och stödinsatser, se kapitel 4.
3.5.3 Regionernas behov starkare incitament än statliga styrmedel
I våra intervjuer lyfter regionerna fram att ett av de viktigaste skälen till att de har genomfört åtgärder innan och före satsningen är att de har sett ett behov i den egna verksamheten att öka antalet vårdplatser eller kapaciteten. Syftet har framför allt varit att öka patientsäkerheten eller förbättra arbetsmiljön. Motivationen att arbeta med frågan har inte i första hand varit statliga ekonomiska medel.
Samtidigt kommer några regioner in på att ekonomiska tillskott är användbara och kan underlätta arbetet. Till exempel beskriver en region att de har haft en satsning på att utöka den egna personalen och minska inhyrningen, och att de kunde använda medlen till detta. Dessutom beskriver en region att medlen faktiskt påverkade på så sätt att regionen under 2023 valde att öka antalet vårdplatser genom inhyrd personal för att uppnå målet. Det blev dock för dyrt och regionen valde därför att stänga vårdplatserna under 2024 igen. Här verkade alltså de prestationsbaserade medlen leda till en tillfällig ökning.
Några regioner lyfter fram att det är negativt med kortsiktiga tillfälliga statsbidrag, bland annat eftersom det blir svårt för regionerna att planera när de inte vet hur mycket medel de kommer få. Några nämner också att de tycker det är bättre med generella statsbidrag i stället, som regionerna själva kan välja hur de vill disponera.
Att det är annat än regeringens styrning som motiverar regionerna att göra insatser och att det är problematiskt med kort framförhållning för statsbidrag stämmer överens med bilden från de regioner som vi intervjuade i vår delrapport. I delrapporten lyfte regionerna att de prestationsbaserade medlen för att minska antalet överbeläggningar och utlokaliseringar gav små incitament för regionerna att genomföra åtgärder för att uppfylla prestationskraven. Anledningen är huvudsakligen att det finns flera utmaningar för regionerna med att hantera ekonomiska incitament från staten, som kort framförhållning för regionerna att anpassa sin verksamhet, budgetprocesser på nationell och regional nivå som inte matchar, samt mindre långsiktighet än vad regionerna önskar. Dessa utmaningar gör det svårt för ekonomiska styrmedel att få full effekt, och regionerna upplever i stället att de genomförde insatser utifrån behov och tidigare beslut i regionerna (Vård- och omsorgsanalys 2025c).
Den samlade bilden från regionintervjuerna är att regionerna framför allt har utgått från egna behov när de arbetat med att öka antalet vårdplatser eller vårdens kapacitet. Samtidigt har vårdplatssatsningen varit en bekräftelse och ett incitament att fortsätta arbeta med frågorna. Signalvärdet av att regeringen har inlett en satsning nämns som en bidragande faktor av några regioner.
3.6 Koordinering: Regionerna behöver hantera många styrsignaler
En förutsättning för att styrningen ska vara ändamålsenlig är att den koordineras med andra styrsignaler. Under varje år pågår det många olika satsningar, och regionerna möter en mängd styrsignaler inom olika områden och från olika myndigheter. Till exempel fanns det under 2023, satsningens första år, totalt 84 riktade statsbidrag till regionerna inom en mängd olika områden (Statskontoret 2024). Utöver de riktade statsbidragen mottar regionerna varje år en mängd olika kunskapsunderlag och lagändringar som kräver koordinering inom regionen.
3.6.1 Koordinering inom satsningen
Det har pågått regeringsuppdrag som på olika sätt berört vårdplatsfrågan sedan 2022, det vill säga innan regeringens vårdplatssatsning formulerades. Parallellt med satsningens kärnuppdrag har det funnits eller tillkommit andra uppdrag som helt eller delvis handlar om vårdplatser. Figur 26 visar ett urval uppdrag, överenskommelser och förordningar under tidsperioden 2022–2025, och hur de relaterar till varandra.
Figur 26. Tidslinje för ett urval uppdrag, överenskommelser och förordningar 2022–2025 som har koppling till vårdplatser eller som har koppling till uppdrag som berör vårdplatser eller vårdens kapacitet.

Källa: Socialdepartementet (2022a, 2022b, 2022c, 2023a, 2023b, 2023c, 2024a, 2024c, 2025); Socialdepartementet och SKR (2022a, 2022b, 2023), Förordning (2024:1252) om statsbidrag till regioner för stärkt tillgänglighet och ökad vårdkapacitet inom den specialiserade hälso- och sjukvården.
Figuren visar vilket år uppdraget/förordningen/överenskommelsen började gälla. Om det till exempel är en förordning för statsbidrag och regeringen tog beslut om förordningen i slutet av året, men medel började betalas ut året efter, räknar vi det som att förordningen började det senare året.
Figuren är inte uttömmande. Det kan även finnas andra uppdrag, förordningar och överenskommelser som är relaterade till vårdplatser. Till exempel ingår heldygnsvård i ett av de fyra områdena för överenskommelsen om strategiska insatser inom området psykisk hälsa och suicidprevention. Området där heldygnsvård ingår heter ”utvecklade insatser för personer med komplexa behov med särskilt fokus på samsjuklighet och psykiatrisk heldygnsvård, tvångsvård och rättspsykiatrisk vård” (Socialdepartementet och SKR 2025).
Vi har tidigare konstaterat att det finns många parallella uppdrag som berör vårdens kapacitet och tillgänglighet, och som kan påverka i vilken utsträckning regionerna fokuserar på att öka antalet vårdplatser. För vissa regioner upplevs mängden styrsignaler från staten som svåra att hantera, medan andra upplever att de har god kapacitet att hantera situationen (Vård- och omsorgsanalys 2025c).
I våra intervjuer får vi bilden att regionerna inte särskiljer olika uppdrag från varandra, eller tydligt kan definiera vad som är en del av vårdplatssatsningen. I stället tolkas de många styrsignalerna som en generell satsning på vårdplatser och vårdens kapacitet från regeringens sida. I några av regionernas tolkningar av vad som ingår i vårdplatssatsningen tillkommer dessutom satsningar på att korta vårdköer, till exempel de prestationsbaserade engångsmedel som betalas ut för höftledsoperationer samt operationer för gråstarr och framfall.
3.7 Prioriteringar: Satsningen pågår parallellt med annat utvecklingsarbete
Samtidigt som regionerna arbetar med att öka antalet vårdplatser, sker det andra stora satsningar och omställningar inom hälso- och sjukvården. Det innebär att regionerna behöver arbeta med flera olika utvecklingsområden parallellt. Ett exempel på ett annat viktigt område är omställningen till en god och nära vård. Även om det är en primärvårdsreform, har den stor betydelse för hela hälso- och sjukvårdssystemet, inklusive slutenvården. Betänkandet God och nära vård – En primärvårdsreform lyfter fram en förändrad vårdplatsstruktur, där fler patienter vårdas utanför akutsjukhusen, som både önskvärd och möjlig (SOU 2018:39). För att det ska inträffa, behöver det bland annat ske en resursförflyttning från sjukhusen till primärvården.
Det är inte svårt att se en möjlig konflikt mellan målen i omställningen till en god och nära vård, och satsningen på att öka antalet vårdplatser. För att stärka primärvården behöver fokus och resurser flyttas från sjukhusen, men samtidigt behövs resurserna för att öka slutenvårdens kapacitet. För regionerna kan det bli svårt att balansera dessa två styrsignaler mot varandra, och avgöra vilka prioriteringar man ska göra om resurserna inte räcker till.
Samtidigt innebär en stärkt primärvård möjligheter att avlasta slutenvården genom att fler patienter kan få den vård de behöver utanför sjukhusen. Socialstyrelsen har tagit fasta på den potentialen, och inkluderar omställningen som ett fokusområde i sin nationella plan för att minska vårdplatsbristen. De skriver att en nyckel till att lyckas med att frigöra platser i den slutna vården är ”en stärkt primärvård, samt att den regionala hälso- och sjukvården bidrar till förutsättningar för kommunal hälso- och sjukvård att genomföra sitt uppdrag” (Socialstyrelsen 2024a). Samma resonemang återkommer i ett par av våra regionintervjuer, där man lyfter att arbetet med att öka vårdens kapacitet är enklare att kombinera med att stärka primärvården, jämfört med att öka antalet vårdplatser inom slutenvården.
Sammantaget finns det ett behov för regionerna att arbeta både med att stärka primärvården och öka antalet vårdplatser, men i praktiken ställer det stora krav på koordinering och prioriteringar.
3.8 Framförhållning och långsiktighet: Blir det bättre med den nya utformningen?
Framförhållning och långsiktighet i styrningen underlättar för regionerna att genomföra insatser. Det är både för att regionerna ska känna sig trygga i att frågan är prioriterad framöver, och för att förändringar tar tid innan de får effekt.
Övergången från regeringsuppdrag till en förordning för stärkt tillgänglighet och ökad vårdkapacitet är tecken på en ökad långsiktighet i satsningen. Men frågan är i vilken utsträckning regionerna kommer få bättre framförhållning om medlen.
3.8.1 Kort framförhållning utmanande för medel för att minska överbeläggningar och utlokaliseringar
Regionerna har i vår delrapport berättat att det var för kort framförhållning för de prestationsbaserade medlen för att minska överbeläggningar och utlokaliseringar, vilket gjort det svårt att planera arbetet (Vård- och omsorgsanalys 2025c). I intervjuerna inför delrapporten och slutrapporten återkommer regionerna till att framförhållning är viktigt för deras arbete, och att genomförandet av olika insatser försvåras när medel blir utlysta med kort framförhållning.
3.8.2 Tidigare uppdrag har övergått i nya
Sedan satsningen inletts har den bestått av flera uppdrag som tillkommit och avslutats i olika tidsperioder. Figur 26 visar en tidslinje över uppdragens tillkomst. I avsnitt 3.6.1 beskriver vi hur mängden uppdrag innebär att det finns många styrsignaler för regionerna att förhålla sig till, men samtidigt bidrar till att det finns en långsiktighet i satsningen. Det beror framför allt på att de nytillkomna uppdragen till stor del bygger vidare på gamla, avslutade uppdrag.
Vi kan se att Socialstyrelsens regeringsuppdrag med produktions- och kapacitetsplanering, samt målvärden för antalet disponibla vårdplatser och beläggningsgrad, inleddes 2022 och avslutades 2024, men har tagits vidare i Socialstyrelsens uppdrag att stärka och följa upp vårdens tillgänglighet och kapacitet (Socialdepartementet 2024a). Även de insatser och indikatorer som tagits fram i arbetet med Plats för vård finns med i det fortsatta arbetet från 2024 och framåt. Materialet är också en viktig del av Socialstyrelsen kunskapsunderlag och utbildningstillfällen för regionerna.
3.8.3 Förordningar tyder på ökad långsiktighet
Vi ser två positiva ändringar som talar för ökad långsiktighet. Den ena ändringen handlar om att regeringen i förordningen (2015:284) med instruktion för Socialstyrelsen har lagt till att ”Socialstyrelsen ska följa, stödja och främja utvecklingen inom hälso- och sjukvården när det gäller” bland annat ”tillgänglighet, väntetider och vårdkapacitet”. Det är något som kan bidra till ökad långsiktighet, eftersom det innebär att Socialstyrelsen ska arbeta med detta permanent i stället för under ett tidsbegränsat uppdrag.
Den andra ändringen som kan bidra till ökad långsiktighet är att förordningen (2024:1252) om statsbidrag till regioner för stärkt tillgänglighet och ökad vårdkapacitet inom den specialiserade hälso- och sjukvården har tillkommit. Detta innebär att de tidigare medlen för att minska överbeläggningar och utlokaliseringar, som hade sin grund i tidsbegränsade regeringsuppdrag, har ersatts av statsbidrag, som har sin grund i en förordning. En förordning tyder på att statsbidraget är tänkt att pågå en längre tid. Samtidigt vet vi inte hur regionerna upplever det, och om det innebär bättre framförhållning för hur mycket medel de kommer få.
4 Socialstyrelsens roll
Socialstyrelsen har en viktig roll i satsningen, eftersom de ger stöd till regionerna. I det här kapitlet skriver vi om regionernas användning av Socialstyrelsens stöd och om regionernas åsikter om stödet. Vi skriver även om Socialstyrelsens betydelse för förankringen av satsningen och om ändamålsenligheten för de målsatta mått som Socialstyrelsen har presenterat.
Våra viktigaste resultat:
- Ledningsenkäten visar att en stor andel av regionerna har använt Plats för vård och riktvärdena.
- Generellt är regionerna positivt inställda till Socialstyrelsens arbete, vilket både speglas i vårt enkätresultat och i intervjuerna.
- Regionerna upplever bland annat att det är positivt att Socialstyrelsen har en stödjande roll och för dialog med regionerna.
- Regionerna uppskattar att de får ta del av goda exempel.
- I regionintervjuerna förekommer både beröm och kritik av riktvärdet.
4.1 Socialstyrelsen har en central roll i satsningen
Socialstyrelsen är den huvudsakliga nationella myndigheten inom satsningen. Det var Socialstyrelsen som tog fram planen och fördelade medlen i de uppdrag som vi klassade som satsningens kärnuppdrag, det vill säga den nationella planen (Socialdepartementet 2023b) och medlen för att minska antalet överbeläggningar och utlokaliseringar (Socialdepartementet 2023a, 2024c). Socialstyrelsen har en roll även när det gäller fördelningen av medel enligt det nya statsbidraget om stärkt tillgänglighet och ökad vårdkapacitet, eftersom det är Socialstyrelsen som ska betala ut bidraget (Socialstyrelsen 2025a). Samtidigt har Socialstyrelsen i uppdrag att bidra till att stärka samt följa upp tillgängligheten och vårdkapaciteten på regional och nationell nivå (Socialdepartementet 2024a).
Socialstyrelsen arbetar för att stödja arbetet med att öka tillgängligheten och vårdkapaciteten på flera olika sätt. Det handlar bland annat om att ta fram olika typer av kunskapsunderlag och stöd samt följa upp statistik, till exempel riktvärden för antalet vårdplatser. Socialstyrelsen följer även upp andra mått, bland annat vårdköer och väntetider samt arbetar för att förbättra datakvaliteten (Socialstyrelsen 2025d).
En annan del i Socialstyrelsens arbete för att stödja tillgängligheten och vårdkapaciteten handlar om verksamhetsnära stöd till exempel verksamhetsbesök/dialoger, metoddiskussioner, workshoppar och nätverksträffar. Socialstyrelsen anordnar exempelvis nätverksträffar som en del i sitt arbete för att stödja regionernas arbete med produktions- och kapacitetsstyrning, där olika verksamheter och eller regioner presenterar sitt arbete med produktions- och kapacitetstyrning utifrån olika teman för att främja ett lärande mellan regionerna. Socialstyrelsen gör även platsbesök ute hos regioner. Socialstyrelsen erbjuder alltså både enskilt stöd till regioner i form av exempelvis platsbesök och forum där regionerna kan dela erfarenheter med varandra (Socialstyrelsen 2025d), se tabell 6. För mer detaljerad information om Socialstyrelsens arbete se exempelvis Socialstyrelsen (2025d).
Tabell 6. Information om nätverksträffar och antal platsbesök.

4.2 Regionerna använder Socialstyrelsens stöd
Drygt fyra femtedelar av 18 regioner har använt rapporten Plats för vård och riktvärden för antalet vårdplatser, enligt vår ledningsenkät. Mer information om enkäten finns i kapitel 1. Figur 27 visar antalet regioner som uppger att de har använt olika stöd från Socialstyrelsen.
Figur 27. Antalet regioner som uppger att de har använt olika stöd från Socialstyrelsen.

Källa: Vård- och omsorgsanalys ledningsenkät 2025. N: 18. Frågan var: Har ni använt något av följande från Socialstyrelsen i ert arbete med att öka antalet vårdplatser eller vårdkapaciteten?
Enligt resultatet i ledningsenkäten var det vanligast att ha tagit del av de prestationsbaserade medlen, följt av rapporten Plats för vård och riktvärdena för antalet vårdplatser. Eftersom vi i delrapporten (Vård- och omsorgsanalys 2025c) konstaterade att alla regioner har tagit del av de prestationsbaserade medlen väljer vi inte att ta med de prestationsbaserade medlen i figuren. Färre regioner uppger att de tagit del av utbildningstillfällen och annat stöd från Socialstyrelsen. Men det är ändå en majoritet av de svarande som har tagit del av annat stöd eller stödmaterial, och hälften som har tagit del av utbildningstillfällen.
Alla regioner som har svarat på enkäten uppger att de har arbetat med ett eller flera av fokusområdena som ingår i Plats för vård. Även regionerna som uppger att de inte har använt Plats för vård uppger att de har arbetat med fokusområden. I fritextsvaren i enkäten framgår att regioner i flera fall har påbörjat aktiviteter i linje med Plats för vård innan rapporten publicerats. En möjlig förklaring till det är att Socialstyrelsen (2024a) har valt insatser som fångar en pågående utveckling i regionerna. I kapitel 5 går vi närmare in på regionernas insatser för att öka vårdplatserna och vårdens kapacitet.
4.3 Socialstyrelsen förankrar och konkretiserar mål
I kapitel 3 beskrev vi den statliga styrningen utifrån ett antal dimensioner (figur 25). Sedan satsningen inleddes har Socialstyrelsen haft en aktiv roll i arbetet med satsningens förankring, och att konkretisera målen i satsningen. Det har skett inom ramarna för de regeringsuppdrag som Socialstyrelsen har fått inom satsningen. Här redogör vi för hur Socialstyrelsen har bidragit till den statliga styrningen.
4.3.1 Socialstyrelsen viktig för förankringen av satsningen
Vi bedömer att Socialstyrelsens arbete med att ta fram den nationella planen har bidragit till att förankra satsningen. Socialstyrelsen beskriver att planen har tagits fram i en iterativ process som involverat aktörer inom regional och kommunal hälso- och sjukvård, patient- och närståendeföreningar samt professionen, och att de på så sätt nått en bred förankring för planen och dess insatser (Socialstyrelsen 2024a). Socialstyrelsen har också valt insatser som fångar den pågående utvecklingen i regionerna, vilket vi också såg i vår delrapport där flera regioner svarade att insatserna är i linje med redan pågående arbete. Regionerna var också positivt ställda till att Socialstyrelsen involverat dem i processen (Vård- och omsorgsanalys 2025c). Vi bedömer att det stärker satsningens förankring.
I en intervju beskrev Socialstyrelsen att vårdplatssatsningen inneburit en förflyttning av regionernas inställning, snarare än att den var förankrad från grunden. Vi bedömer att Socialstyrelsen har bidragit till förankringen genom arbetet med sina regeringsuppdrag. Till exempel lyfte de att regionerna till en början var skeptiska till att Socialstyrelsen skulle ta fram målvärden för antalet vårdplatser, och att diskussionerna till en början fokuserade på om det råder vårdplatsbrist eller inte (Vård- och omsorgsanalys 2025c). Men under arbetets gång ändrades fokus från om det är en utmaning till hur utmaningen ska lösas.
4.3.2 Socialstyrelsen har definierat målnivåer
Socialstyrelsen har inom ramarna för sina regeringsuppdrag definierat mått och målnivåer utöver riktvärden för disponibla vårdplatser. Rapporten Plats för vård (Socialstyrelsen 2024a) presenterar ett antal målsatta mått relaterade till olika dimensioner som Socialstyrelsen bedömer som viktiga för att minska bristen på disponibla vårdplatser. I uppdraget att bidra till att stärka samt följa upp tillgängligheten och vårdkapaciteten på regional och nationell nivå ingår att definiera målnivåer för beläggningsgrad och vårdkapacitet i dialog med regionerna (Socialdepartementet 2024a).
Socialstyrelsen har under 2025 tecknat överenskommelser med regionerna om statsbidrag för 2025 för stärkt tillgänglighet och ökad vårdkapacitet inom den specialiserade hälso- och sjukvården. Överenskommelserna ger information om vad regionerna planerade att arbeta med framåt. En del av insatserna fokuserar på vårdplatser, men många av insatserna har ett bredare eller annat fokus än vårdplatser. Mer information om vad för typ av insatser som ingår i överenskommelserna för 2025 finns i avsnitt 5.2.4.
4.3.3 Ändamålsenlighet hos Socialstyrelsens målsatta mått
Syftet med de målsatta måtten i Plats för vård är att de ska bidra till regionernas utveckling inom fokusområdena. Det finns målsatta mått för fyra av de fem fokusområdena (Socialstyrelsen 2024a). Tabell 7 ger en översikt över vilka målsatta mått som hör till respektive fokusområde.
Tabell 7. Målsatta mått för respektive fokusområde och värden för den somatiska vården.

Som tabellen visar finns det inga målsatta mått för fokusområdet använd kompetensen ändamålsenligt, där finns bara mått som inte är målsatta och utvecklingsmått. Socialstyrelsen har även tagit fram mått som inte är målsatta och utvecklingsmått för andra fokusområden än använd kompetensen ändamålsenligt (Socialstyrelsen 2024a).
Ett viktigt kriterium för att de målsatta måtten ska hjälpa regionerna i rätt riktning är att de är ändamålsenliga. Ändamålsenlighet beror i sin tur på flera aspekter, som att målen ska vara tydligt definierade, tidsatta, mätbara, relevanta och realistiska (Vård- och omsorgsanalys 2022). I tabell 8 har vi sammanställt i vilken utsträckning Socialstyrelsens målsatta mått är ändamålsenliga enligt de kriterierna. När vi resonerar kring ändamålsenligheten nedan fokuserar vi alltså på de målsatta måtten. Vi bedömer inte ändamålsenligheten för måtten som är ej målsatta mått och utvecklingsmått trots att även de kan användas av regionerna.
Tabell 8. Bedömning av i vilken utsträckning de målsatta måtten uppfyller kriterier för ändamålsenlighet.

Vi bedömer att samtliga målsatta mått är definierade och att alla mått utom vårdskador är mätbara på så sätt att det redan finns nationell statistik för dem i dag. Måtten är indikatorer som regionerna redan följer och vars siffror Socialstyrelsen inkluderar i sin redovisning (Socialstyrelsen 2024a, 2025f). Undantaget är vårdskador eftersom SKR under 2024 avslutade sin nationella sammanställning av datan från regionerna (Socialstyrelsen 2024a). Att indikatorerna har följts en längre tid innan satsningen bör innebära att regionerna har god kännedom om vad som ingår i måtten och hur de mäts i de egna verksamheterna.
Det är svårare att säga i vilken utsträckning de målsatta måtten är tidsatta. Socialstyrelsen har som ambition att varje år uppdatera målnivån för de flesta måtten, vilket innebär att regionerna har ett år på sig mellan mätpunkterna att försöka förbättra sina resultat. Dessutom uppdateras målnivån bara om resultatet för den fjärde bästa regionen har förbättrats. Om det har skett en försämring, justeras målnivån inte utan ligger i stället kvar på samma nivå som året innan (Socialstyrelsen 2025f). Men det går inte att säga hur länge regionerna förväntas arbeta med dem, eftersom det inte kommit tydliga signaler från regeringen om hur länge satsningen kan tänkas pågå.
Ett mått där målnivån däremot alltid är 0 är andelen som väntat längre än vårdgarantin. Där är målnivån 0, eftersom det är rättsligt reglerat (Socialstyrelsen 2024a) och därmed ett krav som regionen redan borde uppfylla. Ett annat mått där målnivån inte heller förändras är vårdskador. För vårdskador är det långsiktiga målet 0 procent, och eftersom det saknas nationell insamling av datan behålls den tidigare målnivån på 4,7 procent för det målsatta måttet (Socialstyrelsen 2025f).
Vi bedömer att måtten är relevanta, eftersom Socialstyrelsen har tagit fram de målsatta måtten för att de ska bidra till fokusområdena. De målsatta måtten berör fokusområdena Utveckla systematisk produktions- och kapacitetsstyrning, Säkerställ hållbar kompetensförsörjning, Ställ om till en god och nära vård samt Agera för säker vård (Socialstyrelsen 2024a). Inom Agera för säker vård samlas dock inte vårdskador in på nationell nivå längre, vilket innebär att de enda måtten som mäts i dag nationellt berör IVA när det gäller fokusområdet Agera för säker vård. Det saknas målsatta mått för fokusområdet Använd kompetensen ändamålsenligt.
Det vore positivt om det fanns målsatta mått för alla fokusområden. Möjligtvis kan relevansen för målnivån påverkas negativt av att målnivån för en del av de målsatta måtten är äldre än året innan, eftersom det då finns en risk att målnivån inte speglar nivån som den fjärde bästa regionen befann sig på året innan.
På nationell nivå är de allra flesta måtten ambitiösa, eftersom målnivån för regionen är att nå upp till samma nivå som den fjärde bästa regionen i riket hade året innan. Det innebär att det varierar mellan olika regioner hur utmanande de olika målen är att nå och därmed också hur realistiskt det är att olika regioner ska uppfylla målen. För fyra av regionerna är målet väldigt realistiskt, eftersom det för dem räcker att ligga kvar på samma nivå som året innan. För resten av regionerna varierar det hur utmanande det blir att uppnå målet, beroende hur långt ifrån målet de befinner sig.
Det finns också en variation mellan måtten i hur stor spridning i resultat det är mellan regionerna. Om vi jämför nivån för riket med målnivån för vissa av måtten, skulle inte ens en halvering av nivån i riket räcka för att komma ner till nivån för det målsatta måttet för riket. Det gäller för överbeläggningar, andel patienter som får vänta längre än vårdgarantins gräns och andel överflyttningar till annan intensivvårdsavdelning. Om nivån för riket hade halverats, hade däremot utlokaliseringar, andelen besök på akuten på över 4 timmar, långtidssjukfrånvaro, avgångar för sjuksköterskor, oplanerade återinskrivningar, vårdplatser belagda av utskrivningsklara patienter, vårdtillfällen med påverkbar slutenvård, fallskador kontinuitetsindex och oplanerade återinläggningar på intensivvårdsavdelning befunnit sig under det målsatta måttet för riket. Observera dock att om nivån för riket hade befunnit sig under nivån för det målsatta måttet behöver det inte innebära att alla regioner hade befunnit sig under målet.
Ett mål som ser ytterst svårt ut för alla regioner att uppnå är andelen patienter som får vänta längre än vårdgarantins gräns. Målet är att inga patienter ska vänta längre än vårdgarantins gräns och det var ingen region som var i närheten av att uppfylla det målet för 2024. Det skulle dessutom krävas stora förbättringar för att någon region skulle lyckas uppnå det för 2025.
Det varierar mellan olika mått i vilken utsträckning slutenvården kan påverka måtten. En del av måtten är påverkbara för slutenvården, till exempel överbeläggningar och utlokaliseringar. Andra mått är delvis påverkbara för slutenvården, eftersom både slutenvården och andra delar av hälso- och sjukvården påverkar dem. Det finns också flera mått där slutenvården inte påverkar så mycket, eftersom måtten kräver en förbättring inom andra delar av hälso- och sjukvården, till exempel inom primärvården eller den kommunala hälso- och sjukvården. Det innebär att slutenvården har begränsade möjligheter att påverka målen. Mål som kräver insatser från hela systemet är också i sin natur mer komplexa och svåra att genomföra och följa upp.
Sammantaget ser vi att de målsatta måtten är relevanta, och möter tidigare kända utmaningar och behov i regionerna. Dock vore det positivt om det fanns målsatta mått för alla fokusområden, eftersom det i dag saknas mått för Använd kompetensen ändamålsenligt och det bara samlas in data på nationell nivå för mått som berör intensivvård när det gäller Agera för säker vård. Vi ser att slutenvården kan påverka några av måtten mycket, medan andra mått kräver insatser från hela hälso- och sjukvårdssystemet.
4.4 Regionerna är positivt inställda till Socialstyrelsens arbete
Resultat i vår ledningsenkät visar att en majoritet av de svarande regionerna upplever att Socialstyrelsens stöd har varit till stor eller ganska stor hjälp. 11 av de 18 regionerna som besvarade enkäten uppger det.
Figur 28. Antalet regioner som uppger att Socialstyrelsens stöd har varit till stor eller liten hjälp.

Källa: Vård- och omsorgsanalys ledningsenkät 2025. N: 18. Frågan var: På det hela taget, har stödet från Socialstyrelsen varit till hjälp?
Som figur 28 visar är det bara en region som uppger att Socialstyrelsens stöd har varit till liten hjälp. En tredjedel av regionerna uppger att Socialstyrelsens stöd varken har varit till stor eller liten hjälp.
Enkätresultatet stämmer överens med bilden från våra regionintervjuer. Generellt är intervjupersonerna positiva till Socialstyrelsens arbete och upplever att det är bra. Flera nämner att de är positiva till att Socialstyrelsen har en stödjande roll och uppskattar att det är en dialog mellan Socialstyrelsen och regionerna.
Regionerna beskriver att Socialstyrelsens arbete bidrar med inspiration genom att regionerna får höra exempel, vilket är uppskattat. Någon beskriver att det hjälper till med omvärldsbevakningen och att det är värdefullt med exempel, eftersom det går att göra lokala anpassningar utifrån dem. Regionerna får bland annat ta del av goda exempel på Socialstyrelsens nätverksträffar, vilket ett par regioner nämner att de uppskattar.
I regionintervjuerna har vi också hört andra exempel på hur stödet från Socialstyrelsen har använts. Några regioner nämner till exempel att de har fått stöd med produktions- och kapacitetsstyrning. Någon region beskriver att regionen har valt att använda fokusområdena från Plats för vård när de skulle ta fram ett eget internt program för regionen. Några regioner beskriver ett bilateralt utbyte med Socialstyrelsen, där regionen har gett kunskap till Socialstyrelsen om hur regionen arbetar och Socialstyrelsen har kommit med inspel till regionen. Det finns dock även en region som nämner att de har kommit så pass långt i sitt arbete att de inte upplever att Socialstyrelsen har tillfört ny kunskap.
Några intervjupersonerna kommer in på att det ger extra tyngd och signalvärde när Socialstyrelsen lyfter fram viktiga frågor. Även när regionen redan gör det som Socialstyrelsen tar upp, kan det upplevas ge extra tyngd eftersom det blir en bekräftelse på att regionen är på rätt väg. Några nämner också att de uppskattar de verktyg och material som Socialstyrelsen erbjuder.
När det gäller kritik mot Socialstyrelsens arbete så är den sammantagna bilden från intervjuerna att regionerna generellt främst lyfter fram det positiva i Socialstyrelsens stöd. Riktvärdet är det enda området där flera regioner ger negativa synpunkter. I övrigt är det svårt att identifiera något område, där flera regioner lyfter fram negativa synpunkter eller förbättringsområden för Socialstyrelsens stöd.
4.4.1 Riktvärdet får både beröm och kritik
I regionintervjuerna framkommer både positiva och negativa aspekter på Socialstyrelsens riktvärden. Å ena sidan upplever en del att det är positivt att ha något att förhålla sig till och kunna diskutera utifrån samt att det är hjälpsamt. Till exempel beskriver någon att riktvärdet har hjälpt dem kunna prata om behov på ett annat sätt och underlättat en mer nyanserad dialog. Någon nämner också att riktvärdet kan vara positivt genom att det visar att regionen behöver öppna fler vårdplatser.
Å andra sidan riktar vissa kritik mot att riktvärdet inte tar hänsyn till allt som det skulle behöva ta hänsyn till. Det gör att några är negativa till att det finns ett riktvärde som säger hur det borde se ut i regionen. Till exempel beskriver någon att riktvärdet är för snävt och inte tar tillräcklig hänsyn till helheten, vilket både handlar om att hänsyn bör tas till vårdkedjan som helhet och variation mellan veckodagar. En annan intervjuperson nämner att utgångspunkten att regionen förväntas arbeta bort hela vårdkön på en gång är olämplig. Även om regionen skulle lyckas öppna tillräckligt många vårdplatser för att bli av med vårdkön, skulle regionen inte ha tillräckligt med operationskapacitet och därmed skulle vårdplatser stå tomma om de anpassade sig till riktvärdet. En annan intervjuperson lyfter fram att riktvärdet inte tar hänsyn till att det kan vara lämpligt att vissa avdelningar har en beläggningsgrad som ligger nära 100 procent. Om några avdelningar har det, skulle vissa avdelningar behöva ha väldigt låg beläggningsgrad för att nå riktvärdet för beläggningsgrad för regionen som helhet.
5 Insatser som regioner arbetat med och hur de genomförts
En del av vårt uppdrag är att utvärdera om regionernas insatser har varit ändamålsenliga. Vi utgår från tre aspekter för att bedöma ändamålsenligheten: vilka insatser regionerna genomfört, hur regionerna arbetat med insatserna och vilka effekter insatserna haft. I kapitel 2 redogjorde vi för måluppfyllelsen, och konstaterade att satsningen hittills inte lett till fler vårdplatser. Samtidigt ser vi vissa positiva tecken när vi utgår från andra indikatorer än antalet vårdplatser. I det här kapitlet beskriver vi vilka insatser regionerna genomfört för att sedan resonera om hur regionerna arbetat med insatserna.
Våra viktigaste resultat:
- Regionerna har arbetat med många olika insatser och i alla delar av vårdkedjan, men det är inte möjligt att särskilja vilka insatser som görs på grund av satsningen.
- Många regioner har fokuserat på insatser som minskar vårdplatsbristen, vilket är i linje med regeringens intention.
- Inga regioner uppfyller alla dimensioner för ändamålsenliga arbetssätt med insatser, men en tredjedel har uppfyllt de flesta.
- Många regionledningar bedömer att insatserna ökat antalet vårdplatser eller vårdens kapacitet. Regioner som uppfyllt fler dimensioner av ändamålsenligt arbetssätt bedömer i högre utsträckning att insatserna har ökat antalet vårdplatser eller vårdens kapacitet.
5.1 Vi utgår från flera källor
Det finns inget krav på att återrapportera om eller vilka insatser som genomförs inom det som vi ser som huvudsakliga delar av regeringens satsning på att öka antalet vårdplatser, den nationella planen Plats för vård samt medel för att minska överbeläggningar och utlokaliseringar.
Eftersom det inte finns någon sammanställning av vilka insatser regionerna genomfört inom ramen för satsningen, har vi sökt information om genomförda insatser på annat håll. Vi har använt information från överenskommelsen om ökad tillgänglighet och en enkät till hälso- och sjukvårdsdirektörerna i regionerna (ledningsenkäten). Det har inte varit möjligt att urskilja vilka insatser som regionerna gör på grund av vårdplatssatsningen.
Vi undersöker hur regionerna arbetat med insatserna genom ledningsenkäten och enkäten till vårdplatskoordinatorerna. I kapitel 1 och bilaga 1 och 2 beskriver vi enkäterna. I ledningsenkäten frågar vi brett om de insatser som regionen genomfört kopplat till vårdplatser, men eftersom regionerna genomför många insatser vet vi inte vilka insatser specifikt som man tänker på när enkäten besvaras. Vi kan inte heller veta vilken insats som haft effekt, eftersom regionerna genomför många insatser parallellt.
5.1.1 Vi samlar in insatser från redovisningen av överenskommelsen om ökad tillgänglighet 2024
Socialstyrelsen har haft i uppdrag att följa upp överenskommelsen om ökad tillgänglighet i hälso- och sjukvården mellan staten och Sveriges Kommuner och Regioner (SKR) (Socialdepartementet 2024b; Socialdepartementet och SKR 2023). För att få ta del av medlen i överenskommelsen för 2024, ska regionerna lämna in en redovisning till Socialstyrelsen om hur medlen för 2024 används hittills och kommer att användas i form av ett återrapporteringsformulär.
I formuläret för 2024 ska regionerna bland annat beskriva ”vilka åtgärder de vidtagit för att öka antalet disponibla vårdplatser i enlighet med Socialstyrelsens beräknade riktvärden för respektive region”, ”redogöra för hur den egna regionen arbetar för att uppnå det av Socialstyrelsen beräknade riktvärdet för antalet disponibla vårdplatser” samt ”identifiera och vidta åtgärder för att säkerställa att befintliga resurser allokeras ändamålsenligt”.
Alla regioner har lämnat in formuläret och beskrivit mer eller mindre utförligt vilka åtgärder de genomfört för att öka vårdplatser, uppnå riktvärdet och säkerställa ändamålsenlig allokering av resurser. Vi anser inte att överenskommelsen om tillgänglighet och medlen som delas ut inom ramen för den är en central del av regeringens satsning på att öka antalet vårdplatser. Men eftersom regionerna ska relatera sitt arbete till det riktvärde för vårdplatser som Socialstyrelsen tagit fram, tänker vi oss att de åtgärder som de rapporterar in är relevanta att undersöka och berättar mer eller mindre heltäckande vad de genomfört.
Vi gör en dokumentanalys och kodar insatserna i teman
Socialstyrelsen har tagit fram en slutredovisning av regionernas insatser inom överenskommelsen (Socialstyrelsen 2025e). Utöver att ta del av den har vi läst igenom återrapporteringsformulären för samtliga regioner och kodat insatser som beskrivs (i resten av rapporten kallar vi det dokumentanalys).
Vi hittade över 600 insatser som sedan kategoriserats till vilken del av vårdkedjan de rör och i olika teman. Insatserna varierar i storleksgrad och komplexitet och vi har därför aggregerat dem till övergripande teman. Vissa insatser passar även in i olika teman och har kodats in i flera. Vi har gett regionerna möjlighet att via mejl komplettera det som de skrivit i formulären.
5.2 Regionerna har haft ett systemperspektiv i arbetet med insatser
Den första aspekten av ändamålsenlighet vi analyserar är vilka insatser regionerna arbetat med och om de ligger i linje med regeringens intention med satsningen (se figur 29). Resultaten från vår dokumentanalys och ledningsenkäten visar att regionerna arbetat med många insatser och alla delar av vårdkedjan. Många regioner har fokuserat på insatser för att minska bristen på vårdplatser, och en del har även arbetat med att öka antalet vårdplatser. Regionernas insatser ligger i linje med regeringens intention att minska vårdplatsbristen och bedöms därför vara ändamålsenliga utifrån aspekten vad regionerna valt att arbeta med.
Figur 29. Aspekter för bedömning av om regionernas insatser har varit ändamålsenliga.

5.2.1 Regionerna har arbetat med insatser inom flera områden
Från ledningsenkäten ser vi att de flesta regioner har arbete med olika typer av insatser. I genomsnitt har regionerna arbetat med sex av de områden som fanns att välja på i enkäten. 16 av 18 regioner har arbetat med insatser som handlar om att minska antalet utskrivningsklara patienter, utlokaliseringar, överbeläggningar och beläggningsgrad (figur 30).
Figur 30. Antal regioner som svarat att insatserna i hög eller ganska hög uträckning fokuserade på följande områden.

Källa: Vård- och omsorgsanalys ledningsenkät 2025. Frågan var: I vilken utsträckning fokuserade insatserna i din region på att … N: 18.
De regioner som arbetat med färre områden har fokuserat på insatser som handlar om att minska antalet utskrivningsklara patienter och beläggningsgraden.
Två regioner har svarat att de fokuserat på annat i stor eller ganska stor utsträckning och en region har skrivit att det inte är aktuellt att arbeta med att minska antalet utskrivningsklara patienter.
I fritextsvar lyfter flera regioner fram att man arbetar bredare med frågan. Exempel som de regionerna tar upp är införa mobila team, mer öppenvård eller minska behovet av slutenvård på olika sätt.
Arbetar mer med att minska bristen på vårdplatser än öka antalet
I figur 30 ser vi att det är något fler regioner som genomfört insatser för att minska bristen på vårdplatser än öka antalet. Att exempelvis arbeta med att minska andelen utskrivningsklara gör att vårdplatser frigörs fortare, och kan därmed minska bristen på vårdplatser utan att det leder till fler vårdplatser.
I dokumentanalysen ser vi ett likande mönster. De flesta insatser handlar om att minska bristen på vårdplatser, även om flera regioner nämner att de också har ökat antalet vårdplatser. Det kan bland annat handla om att regionen beskriver att fler vårdplatser har kunnat öppnas som en konsekvens av regionens agerande, till exempel att fler sjuksköterskor har rekryterats så att fler vårdplatser har kunnat öppnas eller att produktions- och kapacitetsplanering på vissa enheter har inneburit att fler vårdplatser har kunnat öppnas. Men det kan också handla om att regioner nämner att vissa typer av vårdplatser har ökat, till exempel vårdplatser för specialiserad vård i hemmet, geriatriska vårdplatser, akutvårdsplatser, alternativa vårdplatser exempelvis på patienthotell eller infektionsplatser på barnsjukhus vid infektionstoppar.
Alla regioner har genomfört insatser inom slutenvården
Dokumentanalysen visar att medlen från överenskommelsen används till insatser inom slutenvården i alla regioner. Det kan exempelvis röra sig om att analysera eller effektivisera flöden på avdelningar, arbeta med bemanningsnycklar eller att öppna fler vårdplatser för att nämna några exempel. Knappt hälften av regionerna skriver om insatser kopplade till utskrivning från slutenvården, som att förenkla eller effektivisera utskrivningsprocessen (figur 31).
Figur 31. Antal regioner som enligt vår dokumentanalys arbetat med insatser inom olika delar av vården.

Källa: Dokumentanalys av återrapporteringsformulär för överenskommelsen om ökad tillgänglighet 2025. Bilaga 4 beskriver dokumentanalysen. N: 21.
Även i temat Samverkan med kommunen dominerar insatser som rör utskrivning från slutenvården. Drygt hälften av regionerna har skrivit om insatser som rör samverkan med kommunen. Bland dem skriver flera regioner att en förbättrad samverkan med kommunen gör att utskrivningsklara patienter snabbare kan skrivas ut, vilket frigör vårdplatser.
Nästan lika många regioner, knappt hälften, som arbetat med insatser som rör akutmottagningen. Det kan handla om att ha öppnat övervakningsplatser på akuten eller arbetat med akutflödesprocessen.
Regionerna beskriver också att de genomfört insatser för att minska inflödet av patienter till slutenvården och behovet av vårdplatser. Några exempel är genom att övergå till mer öppenvård, arbeta med digitala lösningar eller vårdplatser utanför sjukhusen, som mobila team och sjukvård i hemmet. Även om det är mindre vanligt nämner några regioner insatser kopplade till primärvården, ofta för att minska behovet av slutenvård. Det kan exempelvis vara att stärka kontaktvägar och samverkan med primärvården, men även omställningen till en god och nära vård.
5.2.2 Många insatser är övergripande eller rör flera delar av hälso- och sjukvården
Många av insatserna som regionerna skriver om i återrapporteringsformulären är inte enbart kopplade till en del av vårdkedjan, utan rör många delar parallellt eller är på en övergripande nivå. Några exempel som lyfts är att regionen arbetar med generella styrningsfrågor, som att upprätta handlingsplaner eller strukturer som arbetar med vårdplatsfrågor.
En annan återkommande insats handlar om att man genomfört analyser av olika slag. Det kan exempelvis vara att man har gjort en analys av tillgången och behoven av vårdplatser som en del av sin produktions- och kapacitetsstyrning, kartlagt och identifierat processer eller arbetsuppgifter som kan automatiseras eller arbetat med uppföljning.
Andra insatser som nämns handlar om att minska behovet av vårdplatser eller förbättra flöden. För att minska behovet av vårdplatser kan det handla om att satsa på mer öppenvård, skapa dagvårdsenheter eller ställa om till en god och nära vård. Insatser om att förbättra flöden handlar ofta om att effektivisera flöden på akuten, vårdflöden mellan avdelningar och utskrivning genom samverkan med kommunen.
Kompetensförsörjning lyfts av många regioner som en central fråga i relation till vårdplatser, samtidigt som den är relevant för hela eller delar av hälso- och sjukvården. Insatser som lyfts är exempelvis arbetsväxling, bemanningsnycklar på avdelningar, höjd ersättning för obekväm arbetstid, rekryteringsinsatser av sjuksköterskor och andra personalkategorier, som farmaceuter. Likaså är arbete med produktions- och kapacitetstyrning något som både beskrivs som relevant för att öka vårdplatser och förbättra situationen inom vården generellt.
Arbetar med kompetensförsörjning, systematiskt produktions- och kapacitetstyrning samt omställning till god och nära vård
I ledningsenkäten ställdes frågor om en del av fokusområdena som nämns i den nationella planen Plats för vård.
Nästan alla regioner svarar att de arbetat med systematisk produktions- och kapacitetstyrning samt med att använda kompetens ändamålsenligt. 16 av 18 svarar även att de arbetar med att ställa om till en god och nära vård eller generellt med kompetensförsörjning (figur 32).
Figur 32. Antal regioner som uppger att de har arbetat med olika fokusområden i Socialstyrelsens nationella plan ”Plats för vård”.

Källa: Vård- och omsorgsanalys ledningsenkät 2025. Frågan var: Vilka av följande fokusområden i Socialstyrelsens förslag till nationell plan ”Plats för vård” har ni arbetat med? N: 18.
5.2.3 Regionerna påbörjade insatser efter att satsningen inleddes
Även om regionerna i enkäter och intervjuer svarar att de påbörjat mycket av arbetet med vårdplatser och vårdens kapacitet innan satsningen började, visar svaren från ledningsenkäten att man även påbörjat insatser efter att satsningen drogs igång (figur 33).
Framför allt insatser kopplade till minskat behov av slutenvården genom arbete med att minska vårdtillfällen i slutenvården, exempelvis via poliklinsering, har påbörjats efter 2023. Men även insatser på sjukhusen, som att minska överbeläggningar och utlokaliseringar, har man startat upp arbete med i hög utsträckning efter 2023.
Figur 33. Antal regioner som påbörjat insatser efter 2023 inom respektive område.

Källa: Vård- och omsorgsanalys ledningsenkät 2025. Frågan var: Har satsningen inneburit att ni påbörjat insatser inom något av följande områden efter 2023? N: 18.
Svårt att bedöma satsningens och insatsernas effekt
Från intervjuer med några av regionernas ledning ser vi att det finns flera faktorer som gör att det är svårt att avgöra vilka effekter vårdplatssatsningen har haft. Några regioner kommer in på att de gör flera olika insatser och att de olika insatserna kan påverka och att det därför kan vara svårt att isolera vad det är som leder till vad. Till exempel beskriver någon att vissa aktiviteter kan adressera flera olika mål. Dessutom nämner någon att det kan ta tid innan effekterna blir synliga.
5.2.4 Även många av regionernas insatser med det nya statsbidraget har ett bredare fokus än vårdplatser
I överenskommelserna mellan regionerna och Socialstyrelsen inom statsbidraget om tillgänglighet och vårdkapacitet 2025 ser vi att regionerna planerar att fortsätta arbeta med en bredd av insatser.
Vi har gått igenom överenskommelserna och ser att det varierar mellan regionerna hur många insatser de planerar att arbeta med. Regionen med lägst antal insatser har 2 insatser i sin överenskommelse, medan regionen med högst antal har 21. Vanligast är dock att regionerna har planerat för fem insatser.
Hur avgränsade insatserna är varierar också mellan regionerna, där vissa insatser är mer övergripande och flera olika delar ingår i en insats, medan andra insatser är mer specifika. Det gör det svårt att jämföra regionernas arbete.
Att regeringen har breddat fokus från vårdplatser till specialiserad vård verkar synas i insatserna i överenskommelserna. En del insatser fokuserar på vårdplatser specifikt, men många av insatserna har ett bredare fokus i bemärkelsen att det inte framgår i beskrivningen av insatsen att den är fokuserad på vårdplatser. Det förekommer även några insatser som fokuserar på öppenvård.
Många regioner har valt insatser som berör tillgänglighet. Vissa insatser fokuserar på tillgänglighet inom ett specifikt verksamhetsområde, medan andra insatser har ett bredare fokus på tillgänglighet. Några exempel på insatser med koppling till tillgänglighet är att genomföra fler operationer, köpa in mer vård eller att arbeta aktivt med väntelistor.
Produktions- och kapacitetsstyrning och kompetensförsörjning är andra områden där många regioner har valt att göra insatser. Insatser med koppling till kompetensförsörjning kan till exempel vara utbildning, att arbeta för att vara en attraktiv arbetsgivare, organisera upp arbetet för att det ska finnas möjlighet till återhämtning, driva bemanningscentrum samt arbeta med kompetensförsörjningsplaner och uppgiftsväxling.
Det förekommer också många andra typer av insatser i överenskommelserna. Några fler exempel på vad för typ av insatser det kan handla om är bland annat insatser som berör digitalisering, effektivisering, samarbete, mobil verksamhet eller vård i hemmet, insatser för specifika grupper, omställningen till god och nära vård eller patientsäkerhet.
5.3 Vi utgår från dimensioner för att bedöma ändamålsenligheten i regionernas insatser
Den andra aspekten av ändamålsenlighet vi analyserar är regionernas arbetssätt med insatser (se figur 34).
Figur 34. Aspekter för bedömning av om regionernas insatser har varit ändamålsenliga.

För att bedöma om regionernas arbete med insatserna har varit ändamålsenliga har vi genom ledningsenkäten undersökt dimensioner som kan vara viktiga. Vi utgår från samma dimensioner som i kapitel 3 om statlig styrning, men har gjort ett urval som är anpassat för att kunna analysera ändamålsenligheten i regionernas insatser (figur 35).
Figur 35. Dimensioner för ändamålsenligt arbetssätt med insatser.

Syftet med det förberedande arbetet är att säkerställa att insatserna är förenliga med det behov som finns i regionen och inte är i konflikt med andra utvecklingsområden. Utan förberedande arbete finns risken att insatserna har en felaktig inriktning som försvårar förankring hos mottagarna, och som följd kan påverka genomförandet.
Förankring handlar om att mottagarna för insatserna ska ha varit involverade i att utforma eller påverka insatserna och på sätt ge legitimitet för insatserna. Att förankra insatserna hos mottagarna kan bidra till samstämmighet vilket kan underlätta genomförandet. Vi mäter dimensionerna om förberedande arbete och förankring genom att i ledningsenkäten fråga om man genomfört någon behovsanalys samt om verksamhetsföreträdare eller företrädare för patientorganisationer varit delaktiga i att ta fram insatser.
Att insatserna har tydliga mål som är kopplade till indikatorer är centralt för att internt kunna följa om insatserna lett till ökad effekt och sedan följa utvecklingen. Vi mäter dimensionerna om mål genom att fråga om det funnits mål för insatserna och om de varit kopplade till mått eller indikatorer.
Dimensionen om prioriteringar handlar om att regionerna prioriterat mellan insatserna för att använda resurser ändamålsenligt. Det är även viktigt att de inte tränger undan annat arbete som det finns behov av. Vi mäter inte prioriteringar genom en specifik fråga, utan väger ihop flera resultat från enkäten.
För att insatserna ska ha möjlighet att få önskad effekt, är det viktigt att de är långsiktiga för att underlätta planering. Vi frågar om insatserna bedrivits i projektform för att fånga långsiktigheten i regionernas arbete med insatserna. Vi frågar även om uppföljning av insatserna för att bedöma långsiktigheten.
5.4 Ingen av regionerna har uppfyllt alla dimensioner
Ingen av regionerna har uppfyllt alla dimensionerna av ändamålsenlighet i arbetssättet. Om vi däremot bortser från att ha involverat patientorganisationer, har en tredjedel av regionerna uppfyllt alla dimensioner av ändamålsenlighet i arbetssättet med insatserna.
För att insatserna ska bedömas uppfylla samtliga dimensioner av ett ändamålsenligt arbetssätt ska regionerna ha genomfört en behovsanalys som grund för arbetet. Insatserna ska också ha varit förankrade genom att verksamhets- och patientföreträdare har involverats i arbetet på ett mer aktivt sätt än enbart genom information. Regionerna ska i hög eller ganska hög utsträckning ha formulerat mål eller indikatorer kopplade till insatserna och följt upp dessa. Dessutom ska insatserna ha haft en långsiktig inriktning och inte i hög eller ganska hög utsträckning ha bedrivits i projektform.
De flesta regioner har gjort en behovsanalys och involverat verksamhetsföreträdare
Resultaten från enkäten visar att 14 av 18 regioner gjort en behovsanalys, vilket tyder på ett förberedande arbete (figur 36). I fritextsvaren från enkäten beskriver regionerna att de bland annat jobbat med att analysera behovet genom att följa vårdplatsrelaterade mått, inflödet och mått kopplade till omställningen till en god och nära vård. Bland regioner som inte gjort någon analys skriver någon att det hade gjorts tidigare, men att Socialstyrelsens arbete bekräftade inriktningen. En region svarar att man inte gjort någon separat analys på regional nivå.
Alla regioner har svarat att de involverat verksamhetsföreträdare på något sätt, men det skiljer sig hur (figur 36). I åtta av regionerna har man involverat verksamhetsföreträdare i workshoppar, medan man i sju regioner bara informerat om insatser. I elva regioner har verksamhetsföreträdare deltagit i val och prioriteringar av insatser. Två regioner har också involverat patientföreträdare, genom att de har deltagit i workshoppar. En tredjedel av regionerna beskriver att de involverat andra parter i arbetet med att ta fram insatser, som kommuner, primärvården, politiker och tjänstemän samt stödfunktioner inom exempelvis analysverksamheten. För att ha uppfyllt dimensionen Förankring i ändamålsenliga arbetssätt med insatser ska regionen ha involverat verksamhets- och patientföreträdare på fler sätt än att informera om insatser.
Figur 36. Antal regioner som uppger att de gjort olika typer av förberedande arbete och förankring.

Källa: Vård- och omsorgsanalys ledningsenkät 2025. Frågorna var: Genomförde din region någon form av behovsanalys innan ni beslutade vilka insatser ni skulle arbeta med? Har någon av följande varit involverade i arbetet med att ta fram vilka insatser som din region har arbetat med? På vilket sätt har verksamhetsföreträdare varit involverade? På vilket sätt har patientföreträdare eller patientorganisationer varit involverade? N: 18.
I enkäten som riktar sig till vårdplatskoordinatorer frågar vi om i vilken utsträckning de upplever att deras sjukhus arbetar med att öka antalet vårdplatser eller kapaciteten i slutenvården. Enkäten visar att knappt hälften i hög eller ganska hög utsträckning upplever att deras sjukhus arbetar med detta (figur 37). Detta tyder på att åtminstone en hel del av vårdplatskoordinatorerna har kännedom om insatserna som pågår.
Figur 37. Andelen vårdplatskoordinatorer som upplever att deras sjukhus gör förbättringsarbete med vårdplatser i hög eller låg utsträckning.

Källa: Vård- och omsorgsanalys enkät till vårdplatskoordinatorer 2025. Frågan var: I vilken uträckning upplever du att ditt sjukhus arbetar med att öka antalet vårdplatser eller kapaciteten i slutenvården? N: 163.
På frågan om vilka insatser vårdplatskoordinatorerna kände till nämndes många olika åtgärder, varav flera stämmer överens med det som framkommit i intervjuer och enkäter på regionernas ledningsnivå. Framför allt nämner många att man arbetar med in- och utskrivningsprocessen, för att ”rätt patienter” ska skrivas in i slutenvården och för att underlätta utskrivningsprocessen. Många nämner samverkan med kommunen som en viktigt del.
Många nämner även att det pågår arbete kopplat till bemanning. Syftet är både att rekrytera och behålla personal för att på så sätt kunna hålla fler vårdplatser öppna, men också att ta fram bemanningsnycklar för att underlätta planeringen. Även pågående arbete med att öppna vårdplatser nämns, liksom arbete med att utöka öppenvården och arbete med vård i hemmet på olika sätt.
Nästan alla har haft mål och följt upp insatserna
16 av 18 regioner har i hög eller ganska hög utsträckning haft en tydligt definierad målbild för insatserna. 15 av regionerna har också svarat att insatserna varit kopplade till målsatta mått eller indikatorer som varit möjliga att följa upp (figur 38). Vilka specifika mål eller mått som regionerna haft för insatserna vet vi inte, men från enkäten ser vi att fokus har varit att minska antalet utskrivningsklara patienter samt minska utlokaliseringar, överbeläggningar och beläggningsgrad.
Figur 38. Antal regioner med mål och målsatta mått eller indikatorer i hög eller ganska hög utsträckning.

Källa: Vård- och omsorgsanalys ledningsenkät 2025.Frågan var: I vilken utsträckning har din region …? N: 18.
Dimensionen om prioriteringar har inte undersökts genom någon enskild fråga. Men från enkäten ser vi att många regioner svarat att man sedan tidigare påbörjat arbete inom flera områden där man sett behov i regionen, vilket kan tyda på att regionerna sedan tidigare gjort en prioritering. Att många genomfört en behovsanalys kan också tyda på att det skett en prioritering mellan vilka insatser som ska genomföras.
Nästan alla regioner har arbetat långsiktigt genom att följa upp insatserna i hög eller ganska hög utsträckning. Vi vet inte från enkäten hur det gjorts men från vår dokumentanalys ser vi att många regioner arbetat med analys, exempelvis i form av uppföljning. Ungefär en tredjedel, 6 av 18 regioner, har bedrivit insatser för att öka antalet vårdplatser eller slutenvårdens kapacitet i projektform i hög eller ganska hög utsträckning (figur 39). Några regioner skriver att de planerar att följa upp projekten genom fortsatt dialog mellan ledning och verksamhet eller genom att fortsätta skapa tydliga målsatta mått. Andra regioner för över uppföljningen till linjearbetet. För att ha uppfyllt dimensionen om långsiktighet i ändamålsenliga arbetssätt med insatser ska regionen ha följt upp insatserna i ganska hög eller hög utsträckning men inte bedrivit dem i projektform i hög utsträckning.
Figur 39. Antal regioner som följt upp insatserna respektive gjort insatser i projektform i hög eller ganska hög utsträckning.

Källa: Vård- och omsorgsanalys ledningsenkät 2025. Frågan var: I vilken utsträckning har din region …? N: 18.
5.5 Insatserna har ökat antalet vårdplatser eller slutenvårdens kapacitet enligt ledningen
Ytterligare en dimension av ändamålsenlighet är om insatserna lett till önskad effekt i form av fler vårdplatser eller ökad kapacitet i slutenvården. Enligt ledningsenkäten har 15 av regionerna svarat att insatserna i hög eller ganska hög utsträckning ökat antalet vårdplatser eller kapaciteten i slutenvården (figur 40). I kapitel 2 går vi igenom måluppfyllelsen enligt flera mått.
De regioner som inte anser att insatserna haft önskad effekt förklarar det med ett pressat ekonomiskt läge, som gjort att de behövt skära ner på personal och minska hyrpersonalen. En annan förklaring är att de fokuserat på insatser i öppenvården, som därför inte har effekt i slutenvården.
Figur 40. Antal regioner som bedömer att insatserna direkt eller indirekt ökat antalet vårdplatser eller vårdens kapacitet.

Källa: Vård- och omsorgsanalys ledningsenkät 2025. Frågan var: På det stora hela, i vilken utsträckning bedömer du att insatserna direkt eller indirekt ökat antalet vårdplatser eller vårdens kapacitet? N: 18.
5.5.1 Viss skillnad utifrån antalet dimensioner som regionerna uppfyllt
Ledningen i regioner som uppfyllt de flesta dimensioner av ändamålsenligt arbetssätt bedömer i högre utsträckning att insatserna lyckats och att de har bättre möjlighet att tillgodose behovet av slutenvård de kommande två åren. Av de som uppfyllt de flesta dimensionerna svarar hälften att insatserna i hög utsträckning ökat antalet vårdplatser eller vårdens kapacitet, jämfört med närmare en fjärdedel av de som uppfyllt färre dimensioner.
Drygt 80 procent svarar att insatserna i hög eller ganska utsträckning ökat antalet vårdplatser eller vårdens kapacitet oavsett hur många dimensioner som regionerna uppfyllt. Däremot är det bara regioner som inte uppfyllt alla dimensioner som svarat att insatserna i ganska låg utsträckning ökat antalet vårdplatser eller vårdens kapacitet.
Även på frågan om möjlighet att tillgodose behovet av slutenvård i dag och de kommande två åren ser vi viss skillnad utifrån hur många dimensioner man uppfyllt. Bland regioner som uppfyllt alla dimensioner utom involvering av patientorganisationer svarar drygt 80 procent att möjligheterna är bättre i dag jämfört med 2023. Det kan jämföras med de som inte uppfyllt lika många dimensioner, där 66 procent svarar att möjligheterna är bättre i dag jämfört med 2023. Drygt 80 procent av de regioner som arbetat ändamålsenligt svarar att förutsättningarna att tillgodose behovet de kommande två åren är mycket eller ganska goda jämfört med ungefär 40 procent av regionerna som inte arbetat lika ändamålsenligt.
Vi ser även att det är vanligare att regioner som uppfyllt de flesta dimensioner av ändamålsenligt arbetssätt också haft en positiv utvecklig av antalet vårdplatser. Av de regioner som uppfyllt de flesta dimensionerna har 66 procent ökat antalet vårdplatser jämfört med 25 procent av regioner som inte uppfyllt alla dimensionerna.
Detsamma gäller inte för utvecklingen av avståndet till riktvärdet eller det uppskattade behovet av vårdplatser. För avståndet till riktvärdet är det snarare vanligare att regioner som uppfyllt färre dimensioner av ändamålsenligt arbetssätt haft en mer positiv utveckling. Andelen som minskat det uppskattade vårdplatsbehovet är lika mellan de som arbetat mer eller mindre ändamålsenligt.
5.6 Vårdplatskoordinatorerna vill prioritera kompetensförsörjning
När vi frågar vårdplatskoordinatorerna om vad de tycker är viktigast att arbeta med för att öka vårdplatser eller vårdens kapacitet lyfter de flesta fram faktorer kopplade till personalens förutsättningar. Att öka bemanningen är ett sätt att kunna öppna vårdplatser, men även att göra arbetsbelastningen mer hanterbar och därmed bidra till en bättre arbetsmiljö som gör att personal väljer att arbeta kvar inom slutenvården. Utöver att arbeta med arbetsmiljön nämner många att lön och villkor är viktiga faktorer för att behålla kompetens.
Att vårdplatskoordinatorerna vill prioritera kompetensförsörjning ligger i linje med att orsaken till vårdplatsbristen till stor del är personalbrist. Personalbristen innebär att regionerna inte kan hålla alla fastställda vårdplatser öppna. Det handlar särskilt om brist på sjuksköterskor (Socialstyrelsen 2023a). Enligt Socialstyrelsen (2024a) är arbetsmiljön viktig för att minska personalbristen. Samtidigt finns det i dag stora problem med arbetsmiljön inom hälso- och sjukvården. Arbetsmiljöverket (2025) identifierade brister i arbetsmiljöarbetet i 80 procent av de 184 inspektioner som de gjorde på vårdavdelningar på sjukhus. Dessutom konstaterar Försäkringskassan (2026) i sin rapport om psykisk ohälsa i arbetslivet att det finns skillnader i sjukfrånvaro mellan olika yrken och branscher och att sjukfrånvaron är särskilt hög i kontaktyrken inom utbildning, vård och omsorg inom välfärdssektorn.
En del vårdplatskoordinatorer lyfter även fram samverkan som en viktig del att arbeta med. Särskilt samverkan med kommunen vid in- och utskrivning är något som skulle kunna förbättra vårdplatsläget. Men även samverkan med akuten, primärvården och öppenvården anser de är viktigt men det lyfts inte lika mycket.
Många skriver även att bristen på vårdplatser behöver lösas med att man öppnar fler vårdplatser och att det i sin tur leder till att man kommer till rätta med långa perioder av överbeläggningar. Här nämns att fler vårdplatser framför allt behövs på avdelningar inom geriatrik, internmedicin och kirurgi.
Några pekar även på möjligheterna med mer avancerad sjukvård i hemmet som ett sätt att öka kapaciteten. Även organisatoriska lösningar nämns, som vikten av tydliga mandat och ansvarsfördelning.
6 Hälso- och sjukvården är ett sammanhängande system
Hälso- och sjukvårdssystemet består av flera olika delar och utförare som är kommunicerande kärl. En stor del av de patienter som vårdats inom slutenvården har haft kontakt med andra delar av hälso- och sjukvårdssystemet innan och efter sin inläggning. Att hälso- och sjukvården är ett sammanhängande system innebär att vårdplatsbrist inom slutenvården får konsekvenser för andra delar av vården. På samma sätt kan utmaningar inom andra delar av hälso- och sjukvårdssystemet, som den regionala primärvården eller den kommunala hälso- och sjukvården, påverka belastningen i slutenvården.
I det här kapitlet analyserar vi hur vårdplatsbristen i slutenvården påverkar den kommunala hälso- och sjukvården.
Våra viktigaste resultat:
- Det finns inte förutsättningar att följa patientflödet till och från slutenvården med befintlig statistik. Det försämrar möjligheterna att utvärdera hur förändringar inom slutenvårdens kapacitet påverkar övriga delar av hälso- och sjukvården.
- Kommunerna är en viktig mottagare av patienter från slutenvården. Kapaciteten i den kommunala hälso- och sjukvården är därmed viktig för att kunna ta hand om patienter som skrivs ut från slutenvården.
- Kommunernas förutsättningar att ta emot patienter på ett patientsäkert sätt påverkas av korta vårdtider i slutenvården, samverkan med regionerna samt informationsutbytet mellan regioner och kommuner. Under perioder när läget är ansträngt i slutenvården påverkas utskrivningar negativt genom bland annat sämre samverkan och informationsutbyte.
6.1 Patienternas behov i slutenvården alltmer komplexa
Antalet vårdtillfällen i slutenvården har minskat över tid, och under 2024 registrerades cirka 1,3 miljoner vårdtillfällen, varav cirka 102 000 gjordes i den psykiatriska slutenvården. Det är en minskning med cirka 175 000 vårdtillfällen inom slutenvården sedan 2015 (SKR:s verksamhetsstatistik 2025).
Samtidigt som antalet vårdtillfällen minskar i slutenvården har Sverige en demografisk utveckling, där en allt större andel av befolkningen är äldre med fler långvariga eller komplexa hälsotillstånd (Socialstyrelsen 2023c). Att antalet vårdtillfällen i slutenvården minskar trots den demografiska utvecklingen förklaras bland annat av effektiviseringar i slutenvården, förbättrad folkhälsa, och att alltmer vård som tidigare krävde sjukhusinläggning i dag kan behandlas i öppenvården.
En följd av att antalet vårdtillfällen i slutenvården har minskat är att de kvarvarande vårdtillfällena utgörs av patienter med stora eller komplexa vårdbehov. Det finns ingen samlad, rikstäckande statistik över hur patienternas vårdbehov inom slutenvården har utvecklats över tid, men den gemensamma bilden från personer som arbetar i hälso- och sjukvården är att patienter i slutenvården har ett större vårdbehov i dag än tidigare.
I våra intervjuer med representanter för den regionala hälso- och sjukvården beskriver de att utgångspunkten är att vård som måste ges på sjukhuset ska ges där, men om vården kan tillgodoses på andra vårdnivåer är det där patienten ska befinna sig i stället. I takt med att allt fler operationer och behandlingar kan ske inom öppenvården har de patienter som fortfarande vårdas inom slutenvården alltmer komplexa behov. Följden av det är att patienter vårdas på sjukhus när deras behov av vård är som störst, och sedan skrivs ut i ett tillstånd som fortfarande kan kräva omfattande vård- och omsorgsinsatser, men som inte kräver sjukhusvård. Då blir det naturligt att den regionala primärvården eller kommunala hälso- och sjukvården måste bedriva mer avancerad vård.
I rapporten Omtag för omställning svarade 73 procent av MAS och MAR i kommunerna att antalet patienter som behöver insatser från den kommunala hälso- och sjukvården har ökat (Vård- och omsorgsanalys 2025a). Det kräver bland annat ökad kompetens hos personalen, ökad samordning mellan olika vårdnivåer, och mellan olika yrkesgrupper inom den kommunala hälso- och sjukvården.
6.1.1 Statistik saknas från andra delar av hälso- och sjukvårdssystemet
Slutenvården är en bråkdel av befolkningens sammantagna vårdkonsumtion. År 2024 skedde det utöver 1,3 miljoner vårdtillfällen i den somatiska slutenvården, 20 miljoner mottagningsbesök inom den specialiserade öppenvården och 40,5 miljoner besök i primärvården. Bara cirka 200 000 besök var hembesök på särskilda boenden (SKR:s verksamhetsstatistik 2025).
I nuläget finns det inte tillgång till detaljerad sammankopplad nationell statistik över vilken vård som sker i regionala primärvården och inom den kommunala hälso- och sjukvården. När vi analyserar hälso- och sjukvården kan vi alltså inte följa patienterna innan och efter att de besökt slutenvården, vilket gör det svårt att få ett helhetsgrepp om vilken vård patienterna fått innan och efter en inläggning i slutenvården.
6.1.2 Vi har analyserat patienterna inom slutenvården
Ett sätt att analysera hälso- och sjukvårdssystemet som ett sammanhängande system är att undersöka hur patienter rör sig mellan olika vårdnivåer. Genom att analysera in- och utflödet till slutenvården är det möjligt att kartlägga hur kapacitetsbrist inom slutenvården kan tänkas påverka andra delar av hälso- och sjukvårdssystemet, men analysmöjligheterna begränsas av att det inte finns statistik som fångar patienternas resa genom hela hälso- och sjukvårdssystemet. Antalet vårdtillfällen inom den specialiserade vården går att analysera med hjälp av Socialstyrelsens patientregister (PAR), men registret innehåller inga vårdtillfällen som sker inom primärvården eller den kommunala hälso- och sjukvården. Det innebär att det är möjligt att analysera den vård som en patient fått inom den specialiserade vården, men inte den vård som patienten har fått i andra delar av vårdkedjan innan eller efter besöket i slutenvården.
Trots begränsningarna i att följa patientflödet genom hela hälso- och sjukvården analyserar vi patienterna inom slutenvården med hjälp av PAR, för att få en bild av vårdtillfällen samt in- och utskrivningar i slutenvården. Mer information om vårt urval av vårdtillfällen finns i faktarutan.
Urval av vårdtillfällen i vår analys
Vi har analyserat in- och utflödet till slutenvården utifrån den tillgängliga statistiken över vårdtillfällen i Socialstyrelsens patientregister (PAR). Utöver samtliga slutenvårdstillfällen som skedde 2023 har vi även studerat besök i den specialiserade öppenvården som föregått en inskrivning i slutenvården.
Analysen har exkluderat patienter under 18 år. Vi har även exkluderat kvinnor som varit inlagda för förlossning, eftersom det är ett särskilt patientflöde jämfört med patienter som vårdas för sjukdomar och skador. När vi tittar på patienter som har vårdats inom den psykiatriska slutenvården har vi exkluderat patienter som vårdas inom rättspsykiatrin.
6.2 In- och utskrivningar från slutenvården
Majoriteten av besöken innan ett slutenvårdstillfälle föregås av ett akutbesök. Många patienter har också mer än ett besök i slutenvården under året.
6.2.1 Vi har analyserat patientflödet med hjälp av patientregistret
En inläggning i slutenvården kräver att patienten har besökt en annan del av vården först, till exempel primärvården, och sedan remitterats vidare eller skrivits in i slutenvården. Efter en avslutad behandling kan patienten också behöva hälso- och sjukvårdsinsatser i den öppna specialiserade vården, regionala primärvården eller i den kommunal hälso- och sjukvården.
PAR fångar till viss del var patienterna skrivs in och ut ifrån i sin statistik. Det går inte att få en överblick varifrån patienterna remitterades till slutenvården, men registret fångar patientens boendeform vid inskrivning, samt besök på akutmottagningar och i den öppna specialiserade vården. Men täckningsgraden i vilken utsträckning patienterna kommer från eller skrivs ut till särskilt boende varierar mellan regionerna, och är generellt en underskattning av den faktiska nivån. Handläggare för PAR bedömer att variationen mellan regionerna inte speglar faktiska skillnader, utan snarare skillnader i hur man registrerar. Andelen patienter som skrivs in till slutenvården från ett särskilt boende varierar mellan 0,5–4 procent beroende på region, och motsvarande siffror för patienter som skrivs ut till särskilda boenden är 1,7–9 procent. Analyserna av patientflödet till och från slutenvården ska alltså ses som en indikation på hur det ser ut, snarare än en exakt nivåanalys. Figur 41 visar översiktligt patientens väg till och från slutenvården.
Figur 41. Patientflöden till och från slutenvården i PAR.

De flesta kommer hemifrån
Vår analys av PAR visar att cirka 9 av 10 patienter var boende antingen i sitt ordinarie boende eller i ett särskilt boende vid inskrivningen i slutenvården. Resten av patienterna kom från ett annat sjukhus eller klink. Det kan röra sig om patienter som överförs till och från länsdels-, läns- och regionsjukhus, eller patienter som flyttas mellan avdelningar inom ett sjukhus.
Inskrivningen i slutenvården kan vara planerad eller oplanerad
Vid ett konstaterat vårdbehov som leder till en inskrivning i slutenvården kan patienterna antingen vara en del av det akuta, oplanerade flödet eller det planerade flödet. Vid ett akut behov kan patienterna nå slutenvården genom akutmottagningen, ambulans eller direkt från en annan vårdnivå. Vi kan inte utifrån statistiken urskilja hur stor del av vårdtillfällena i slutenvården som kommer från andra delar av vården än akutmottagningen.
Om patienterna är i behov av planerad slutenvård får patienterna en remiss från primärvården eller den öppna specialiserade vården. PAR innehåller ingen information om remisser eller vilken vårdnivå som patienterna har haft kontakt med innan inskrivning i slutenvården.
Vi kan inte analysera vilken vård patienterna får efter slutenvården
När patienterna är utskrivningsklara ska de lämna slutenvården. Men utskrivningsklar innebär inte nödvändigtvis att patienterna inte är i behov av vidare vård och omsorg. De kan vara i behov av insatser från andra vårdnivåer än slutenvården, men de vårdinsatserna registreras inte i PAR. Statistiken från PAR visar att 85–95 procent av patienterna skrivs ut till sitt ordinarie eller ett särskilt boende, men vi kan inte med säkerhet säga hur många patienter som skrivs ut till särskilda boenden. Vi kan inte heller säga hur stor del av patienterna som får vård- och omsorgsinsatser i sitt hem från den kommunala hälso- och sjukvården efter att de lämnat sjukhuset.
Dessa luckor i statistiken innebär att det inte går att göra en komplett kartläggning över patienternas resa genom vården – från besök i öppenvården eller vård som föregått en akut inläggning, till slutenvården, och vidare till vårdinsatser efter utskrivning.
6.3 Slutenvårdens förutsättningar
Med slutenvård avses vård som kräver resurser som inte kan tillgodoses i öppenvård eller hemsjukvård (Socialstyrelsen 2026b). För att patienter ska få tillgång till slutenvård behöver de passera genom andra vårdnivåer i form av primärvård eller annan öppenvård. Det innebär att inflödet av patienter i slutenvården påverkas av hälso- och sjukvårdens förutsättningar att tillgodose vårdbehovet på lägre vårdnivåer. I det här stycket redogör vi kort för ett antal faktorer som påverkar behovet av slutenvård, och utflödet från slutenvården.
6.3.1 De flesta inskrivningar i slutenvården är oplanerade
I vårt urval av vårdtillfällen i slutenvården under 2023 var cirka 75 procent oplanerade i den somatiska vården. I den psykiatriska slutenvården är hela 90 procent av vårdtillfällena oplanerade. Även om det kan finnas en viss förutsägbar säsongsvariation i de oplanerade slutenvårdsbesöken, som till exempel under influensasäsongen, innebär det att slutenvården inte fullt ut kan förutsäga när på året som patienter kommer att behöva vård.
Uppdelat på olika verksamhetsområden ser vi att andelen oplanerade besök är högst i internmedicinska och psykiatriska verksamhetsområden, medan planerade besök är vanligast inom de ortopediska verksamhetsområdena (se figur 42).
Figur 42. Andel oplanerade slutenvårdsbesök i olika verksamhetsområden.

Källa: Analys av statistik från PAR för 2023.
Not: Figuren innehåller vårdtillfällen i vårt urval, exklusive patienter som har skrivits in från en annan mottagning eller sjukhus.
Fördelningen av planerad och oplanerad vård inom ett verksamhetsområde har också betydelse för hur inflödet av patienter ser ut över året. I verksamhetsområden med hög andel oplanerad vård finns det små möjligheter att styra flödet över året, och andelen patienter som skrivs in oplanerat är relativt konstant över årets alla månader (se figur 43). Motsatsen gäller för det ortopediska verksamhetsområdet, som har en hög andel planerad vård över året. Det ger andra förutsättningar att styra över och planera inflödet av patienter. Under sommarmånaderna och i december minskar andelen planerade vårdtillfällen, och merparten av vården är oplanerad.
Figur 43. Andelen slutenvårdstillfällen som är oplanerade under 2023.

Källa: Analys av statistik från PAR för 2023.
Not: Figuren innehåller vårdtillfällen i vårt urval, exklusive patienter som har skrivits in från en annan mottagning eller sjukhus.
För slutenvården finns det begränsade möjligheter att styra över inflödet av patienter i behov av oplanerad vård. Det är i stället ett flöde som bland annat påverkas av öppenvårdens förutsättningar. På samma sätt kan utflödet av patienter påverkas av andra vårdnivåer. Till exempel måste det finnas kapacitet hos andra vårdnivåer att ta emot de patienter som behöver fortsatt vård på andra vårdnivåer.
6.3.2 Akutmottagningen påverkas av slutenvårdens kapacitetsbrist
Under 2023 gjordes det totalt 1,8 miljoner besök på olika somatiska akutmottagningar i Sverige. Majoriteten av dessa besök ledde inte till en inskrivning i slutenvården (Socialstyrelsen 2024b), men vårdplatsbristen i slutenvården kan ändå få direkta konsekvenser för akutmottagningarna. I IVO:s tillsyn av akutsjukhusen skriver de att följden av att inskrivningsklara patienter inte kan lämna akuten är att akutmottagningarna blir överbelastade. För patienterna innebär det att de riskerar att skickas hem när de egentligen behövt läggas in för vård eller observation, eller längre väntetider till triage (IVO 2023). Hög beläggningsgrad på akutmottagningarna är dessutom kopplade till att patienter i högre utsträckning vårdas på akutmottagningen, i stället för den tilltänkta avdelningen (af Ugglas 2021).
I vår enkät med vårdplatskoordinatorer ser vi också att vårdplatsläget i slutenvården får konsekvenser för akutmottagningen. Vi ställde frågan om vårdplatskoordinatorerna upplever att antalet patienter som behöver stanna över natten på akuten på grund av vårdplatsbrist på andra avdelningar har ökat eller minskat sedan 2023.
Runt 35 procent uppgav att fler patienter än 2023 behöver stanna över natten på akuten för att det saknas vårdplatser på andra avdelningar (se figur 44).
Figur 44. Andelen vårdplatskoordinatorer som uppger att antalet patienter som behöver övernatta på akuten för att vårdplatser på andra avdelningar saknas har ökat eller minskat.

Källa: Vård- och omsorgsanalys vårdplatskoordinatorsenkät 2025.N: 120. Frågan var: Jämfört med 2023, hur har antalet patienter som behöver stanna över natten på akuten för att vårdplatser på andra avdelningar saknas generellt utvecklats?
6.3.3 Många patienter gör mer än ett besök i slutenvården
Inflödet av patienter till slutenvården påverkas också av att många patienter gör mer än ett besök i slutenvården under ett år. Under 2023 gjordes cirka 1,3 miljoner vårdtillfällen inom slutenvården av 670 000 unika patienter.
Figur 45 visar att 43 procent av patienterna i den somatiska slutenvården har gjort ett besök under 2023, medan motsvarande siffra i den psykiatriska slutenvården är 25 procent. Cirka en tredjedel av patienterna hade 2–3 vårdtillfällen under 2023 (34 respektive 29 procent). Det finns tydliga skillnader mellan somatisk och psykiatrisk vård när det gäller antalet patienter som hade 4 eller fler vårdtillfällen registrerade. För somatisk vård handlar det om 22 procent av patienterna, jämfört med 46 procent av patienterna inom den psykiatriska vården. Inom den psykiatriska vården har de flesta patienter med fler än 4–5 vårdtillfällen 10 eller fler vårdtillfällen registrerade.
Figur 45. Andelen patienter som gör olika antal slutenvårdsbesök i somatisk och psykiatrisk slutenvård.

Källa: Analys av statistik från PAR för 2023.
Patienter som gör flera besök under ett år är en del av patientinflödet som är svårt att styra, eftersom en stor andel av besöken utgörs av oplanerad vård. Bland patienterna inom den somatiska vården och som hade ett vårdtillfälle under 2023 fick 30 procent planerad vård. För dem som hade 4 eller fler vårdtillfällen under året är andelen som fick planerad vård betydligt lägre – cirka 17 procent. Patienterna som har behövt söka vård flera gånger under ett år har alltså haft akuta besvär.
6.3.4 Utflödet av patienter påverkar slutenvården
Majoriteten av alla patienter skrivs ut till sitt eget hem efter ett vårdtillfälle i slutenvården. Många kommer att behöva fortsatta vård- och omsorgsinsatser efter sin sjukhusvistelse. Utskrivningsprocessen kräver därmed samverkan mellan slutenvården och mottagaren, till exempel socialtjänsten, den kommunala hälso- och sjukvården eller den regionfinansierade öppna vården. Utflödet av patienter från slutenvården påverkas alltså av mottagarens förmåga att ta emot patienterna. För slutenvården finns det incitament att minska tiden som utskrivningsklara patienter ligger kvar på sjukhuset. Sedan 2018 har man frigjort cirka 1 000 vårdplatser på sjukhus genom att minska antalet utskrivningsklara patienter (SKR 2022). På så sätt har man alltså frigjort vårdplatser utan att slutenvården har ökat antalet vårdplatser. Men samtidigt som snabbare utskrivningar kan minska belastningen på slutenvården så kan det också öka belastningen på kommunen.
6.3.5 Primärvården viktig vid utskrivning från slutenvården
Ansvaret för att erbjuda hälso- och sjukvård till patienterna efter att de har lämnat sjukhuset ligger både hos regionerna och kommunerna. Enligt 8 kap. 1 § hälso- och sjukvårdslag (2017:30), HSL, har regionerna ansvaret för att erbjuda god hälso- och sjukvård åt sina invånare. Kommunen ska erbjuda god hälso- och sjukvård åt vissa personer, till exempel personer som bor på särskilda boenden för äldre (12 kap. 1 § HSL). Region och kommun kan också komma överens om att kommunen ska ta över ansvaret för insatser som gäller hemsjukvård i ordinärt boende (14 kap. 1 § HSL). Men det är fortfarande regionen som ansvarar för läkarresurser (16 kap. 1 § HSL). Alla kommuner förutom kommunerna i Stockholms län (med undantag för Norrtälje kommun) har ingått överenskommelser om att ta över ansvar för hälso- och sjukvårdsinsatser i hemmet. Vilka insatser som omfattas i överenskommelserna varierar (Vård- och omsorgsanalys 2025a). Tidigare undersökningar visar att ansvarsfördelningen mellan kommuner och regioner upplevs som otydlig (Vård- och omsorgsanalys 2025a).
Vid utskrivningar från slutenvården har den regionala primärvården en viktig samordnande roll mellan slutenvård och den kommunala hälso- och sjukvården, eftersom regionen och kommunerna delar på ansvaret för patienterna. Samtidigt har den samordnande rollen inneburit ökad arbetsbelastning och nya arbetsuppgifter, efter att lagen om samverkan vid utskrivning från slutenvården infördes (Vård- och omsorgsanalys 2020).
Vi har i tidigare rapporter belyst utmaningarna för primärvården att samverka med slutenvården. En av tre vårdcentralchefer svarar att samverkan med den specialiserade vården fungerar dåligt eller mycket dåligt när det gäller att tillgodose patienternas behov av vård och omsorg. Otydliga roller och ansvar är det främsta hindret, men även bristande ekonomiska resurser, otillräckliga tekniska lösningar och begränsade möjligheter att överföra information (Vård- och omsorgsanalys 2025a).
6.3.6 Slutenvården och kommunala hälso- och sjukvården har delvis samma målgrupper
Patienter i den somatiska slutenvården tillhör generellt den äldre befolkningen. Medianålder för alla vårdtillfällen 2023 var 73 år, medan den psykiatriska slutenvården hade en betydligt lägre medianålder om 40 år. Det går inte med hjälp av PAR att säga hur stor andel av patienterna i slutenvården som fick insatser i den kommunala hälso- och sjukvården efter utskrivning, men givet åldersfördelningen av patienter i slutenvården är det ett rimligt antagande att många av dem också får någon form av insatser från den kommunala hälso- och sjukvården. Fyra av fem personer som fick kommunal hälso- och sjukvård 2024 var 65 år eller äldre (Socialstyrelsen 2024c) och 10 procent av befolkningen i åldern 80 år och äldre bodde i ett särskilt boende (Kolada 2025).
Antalet äldre patienter som rör sig mellan slutenvården och den kommunala hälso- och sjukvården visar att kommunerna spelar en viktig roll för in- och utflödet till slutenvården. Det avspeglas bland annat i regionernas insatser som beskrivs i kapitel 5, där samverkan med den kommunala hälso- och sjukvården och utskrivningsprocessen är områden som många regioner valt att arbeta med. Det innebär också att förändringar i slutenvården får konsekvenser för den kommunala hälso- och sjukvården och dess förutsättningar att genomföra sitt uppdrag.
6.4 Ansträngt läge i slutenvården påverkar kommunala hälso- och sjukvården – och tvärtom
Med bakgrund i kopplingen mellan slutenvården och den kommunala hälso- och sjukvården har vi valt att undersöka den kommunala hälso- och sjukvårdens perspektiv på vårdplatssituationen i slutenvården.
Vi har intervjuat totalt 22 personer inom den kommunala hälso- och sjukvården i 8 intervjuer. Intervjupersonerna kommer från 6 olika kommuner. Mer information om vilka vi har pratat med finns i bilaga 3.
Våra intervjuer med personer från den kommunala hälso- och sjukvården visar att de generellt är medvetna om när läget är ansträngt inom slutenvården, även om det är blandat i hur stor utsträckning det är just vårdplatsbrist som är orsaken. Det finns även platsbrist inom den kommunala hälso- och sjukvården, både för korttidsboenden och särskilda boenden, som påverkar utskrivningen från sjukhuset.
6.4.1 MAS och MAR ser utmaningar i slutenvården
I vår delrapport skrev vi om hur medicinskt ansvariga sjuksköterskor (MAS) och medicinskt ansvariga för rehabilitering (MAR) upplevde samarbetet med slutenvården och konsekvenserna för deras verksamhet av vårdplatsbrist i slutenvården.
En stor andel MAS och MAR upplevde att slutenvården inte kan tillgodose behovet av slutenvårdsplatser, och att läget var särskilt utmanande inom den psykiatriska slutenvården. Ungefär hälften upplevde också att patienterna ibland, sällan eller aldrig var redo att lämna slutenvården när de skrevs ut.
MAS och MAR upplevde också ofta problem med korta vårdtider och tidiga utskrivningar från slutenvården. Det är en utveckling som ökar belastningen på kommunerna, och som till exempel kan kräva fler korttidsplatser eller mer avancerad vård i hemmet. Samtidigt upplever många att kommunerna inte har den kompetens och resurser som krävs för det (Vård- och omsorgsanalys 2025c).
6.4.2 Korta vårdtider är största utmaningen
Våra intervjuer med representanter från den kommunala hälso- och sjukvården bekräftar resultaten i vår delrapport. Kommunrepresentanterna är eniga om att de märker av när läget är ansträngt i slutenvården, till exempel under semesterperioder. Men de lyfter också fram att den största utmaningen utifrån deras perspektiv är de korta vårdtiderna inom slutenvården.
Generellt upplever de att korta vårdtider innebär att patienterna skrivs ut i ett skörare läge än förr. Det kan vara svårare för både slutenvården och den kommunala hälso- och sjukvården att avgöra hur stort behov av insatser som patienten har efter utskrivning. Korta vårdtider ställer också höga krav på att informationsutbytet mellan slutenvården och kommunen ska fungera, så att den kommunala personalen har relevant information när de tar emot patienten.
Bilden utifrån våra intervjuer är att de utmaningarna blir extra tydliga när slutenvården är ansträngd. Det förekommer att kommunerna har blivit uppmanade att ta hem patienter som personalen i kommunen upplever hade behövt någon extradag på sjukhuset, eller om kommunen vill skriva in en patient möts av försök att vårda patienten på andra vårdnivåer än slutenvården. Det är också vanligt att informationen inför utskrivning från slutenvården är bristfällig eller kommer med kort varsel under perioder med ansträngt läge på sjukhuset, eller att man pressas till att lägga patienter på korttidsboende.
Regionernas perspektiv utifrån våra intervjuer är att patienter i behov av slutenvård alltid skrivs in, och aldrig skrivs ut utan att vara medicinskt färdigbehandlad. Det är sjukhusens centrala akutuppdrag. Samtidigt balanseras det mot att slutenvården ska vara till för de moment som enbart kan genomföras i slutenvården, och övrig vård ska ske på andra vårdnivåer. I takt med att specialistvården blir alltmer avancerad innebär det att alltmer vård flyttas ut från slutenvården till öppenvården. Som en följd av det får den kommunala hälso- och sjukvården mer komplicerade uppgifter i dag.
Både regionerna och kommunerna delar bilden att patienter inte ska vara längre än nödvändigt på sjukhuset av patientsäkerhetsskäl, och säger att många patienter inte vill vara på sjukhuset i längre perioder, utan vill hem. För att den kommunala hälso- och sjukvården ska kunna ta hand om patienterna på ett patientsäkert sätt uttrycker de att de också behöver förutsättningar för att kunna göra det, som kompetens, resurser och kapacitet. Det behövs för att tiden efter utskrivning ska bli en välfungerande och trygg situation, för både patienter och personal.
6.4.3 Platsbrist inom den kommunala verksamheten
En ytterligare utmaning som framgår av intervjuerna är att det råder platsbrist även inom kommunens korttidsboenden och särskilda boenden, vilket i förlängningen påverkar utskrivningsprocessen negativt.
Det förekommer att läkare i slutenvården vill skriva ut patienter till ett korttidsboende för att stabiliseras innan hemgång, men att korttidsboendet inte har tillräckligt med platser för att kunna ta emot patienterna. Anledningen till platsbristen är bland annat att det finns patienter på korttidsboenden som väntar på en ledig plats på ett särskilt boende, men att det dröjer. År 2023 var väntetiden från ett biståndsbeslut till att få flytta till ett särskilt boende 61 dagar i genomsnitt i landet, vilket är en ökning med 6 dagar sedan 2015. Det finns stora skillnader mellan kommunerna (Socialstyrelsen 2024d). Antalet personer som behövt vänta längre än tre månader på ett särskilt boende var 2023 det högsta sedan 2015. Det skedde en viss förbättring 2024, men antalet som väntade efter tre månader var fortfarande på en hög nivå (IVO 2025).
Enligt Boverkets bostadsmarknadsenkäter har runt 40 procent av kommunerna angett att de har ett underskott på särskilda boenden de senaste tio åren. En lösning som kommunerna lyfter fram är att införa extra korttidsplatser, låta personer stanna längre på korttidsboendet, eller öka hemtjänstinsatser i det egna boendet (Boverket 2025).
Sammantaget med våra intervjuer tyder det på att korttidsplatserna i kommunen används som dragspel och hamnar i kläm från både slutenvården och kommunen. Varken antalet platser inom särskilda boenden eller korttidsboenden är i dag dimensionerade efter dagens behov.
6.4.4 Tillgången till sjuktransporter påverkar vårdens kapacitet
En annan utmaning som också påverkar vårdens kapacitet och som lyfts i våra intervjuer är tillgången till ändamålsenligt planerade sjuktransporter. I intervjuerna framgår att många upplever utmaningar med för få tillgängliga sjuktransporter vid utskrivning, logistikproblem när alla patienter skrivs ut från sjukhuset vid samma tidpunkt, och sjuktransporter som inte dyker upp när hemtjänsten står redo. Konsekvenserna av det blir att den kommunala hälso- och sjukvården har planerat för patienter som inte dyker upp, eller att de måste lägga mycket tid på att vänta in patienterna.
Sammantaget handlar det om ineffektiv användning av personalens tid och resurser. I vissa fall har problemet lett till att patienter inte har kunnat lämna sjukhuset, eller har behövt återinskrivas eftersom kommunen inte har kunnat ta emot dem efter utsatt tid. Det innebär alltså att det finns platser på sjukhuset som upptas av patienter som hade kunnat åka hem – om sjuktransporten hade fungerat på ett ändamålsenligt sätt.
6.4.5 Resurser är en utmaning
Tidigare undersökningar har visat att den kommunala hälso- och sjukvården upplever att det finns otydligheter i ansvarsfördelningen mot regionen, och att vård- och omsorgsuppgifter ”osynligt” flyttas till hemmet från slutenvården (Vård- och omsorgsanalys 2024, 2025a). Det är en bild som återkommer även i våra intervjuer, där man håller med om att det är en förflyttning som skett successivt. I något fall pekar man på att när slutenvården drar ner på tjänster, kan en relevant kompetens som stöttar kommunerna försvinna från slutenvården, och den kommunala hälso- och sjukvården måste hitta egna sätt att kompensera för det.
Utvecklingen ställer redan i dag krav på kommunerna som de upplever svåra att tillgodose. Brist på personal tillsammans med ökade krav innebär att samma knappa personal ska göra mer än tidigare, vilket är belastande för verksamheterna (Statskontoret 2023). I rapporten Redo för framtiden ansåg var femte kommun att de hade dåliga förutsättningar att tillgodose befolkningens behov. Särskilt vanligt var det inom glesbygdskommuner. Och den samlade bilden är att utmaningarna förväntas bli större i framtiden, eftersom äldreomsorgen måste tillgodose större behov med sannolikt mindre personal och ekonomiska resurser (Vård- och omsorgsanalys 2024).
6.5 Patienterna drabbas
Patienterna drabbas när slutenvården och den kommunala hälso- och sjukvården har brister i samordningen, till exempel under perioder när det är ont om plats på sjukhuset.
I intervjuerna är samtliga överens om att det hos många patienter finns en önskan om att få komma hem från sjukhuset. Samtidigt finns det patienter som känner oro inför att lämna sjukhuset. Oron kan orsakas av flera olika anledningar, men några exempel som framgår av intervjuerna är att de korta vårdtiderna kan innebära att patienterna inte helt hinner landa i att de ska åka hem innan utskrivningen sker. Om läget dessutom är ansträngt på sjukhuset kanske inte personalen där har hunnit informera patienterna eller deras anhöriga fullt ut om att de ska skrivas ut och vad det innebär.
I intervjuerna med den kommunala hälso- och sjukvården framkommer att det kan vara en utmaning för kommunen att kommunicera vad de kan hjälpa till med och få patienten att vilja ha det stödet. Det förekommer att patienter inte är tillräckligt insatta i vad hemgången kommer att innebära för dem, och vilken vård eller vilka hjälpmedel som kommunen kan erbjuda. När patienterna inte har kunskap om att de kan få avancerad vård i hemmet kan det skapa oro för att lämna sjukhuset. Patienterna kan också tacka nej till stöd som kommunen hade kunnat erbjuda på grund av okunskap antingen om kommunernas möjligheter, eller om hur deras hälsotillstånd kommer att vara efter utskrivningen.
Att vårdplatsbrist påverkar patienternas upplevelser såg vi också i vår delrapport, där patienterna som upplevt vårdplatsbrist kände sig mindre trygga under sin senaste sjukhusvistelse, hade sämre kontakt med vårdpersonalen, och svårare att få tillgång till den information de behövde. De kände sig också mindre redo för utskrivningen. En orsak till oro var bristande samordning mellan regionen och kommunen (Vård- och omsorgsanalys 2025c).
6.6 Samverkan en förutsättning – och en utmaning
En god samverkan mellan slutenvården och den kommunala hälso- och sjukvården är en förutsättning för att kommunerna ska kunna ta hem sina patienter, och på så sätt frigöra vårdplatser på sjukhusen. Men samverkan mellan olika vårdnivåer är också en utmaning inom svensk hälso- och sjukvård.
6.6.1 Slutenvård samverkar bäst med slutenvård
En stor del av de äldre patienterna har upplevt olika problem med samverkan mellan olika vårdnivåer. 29 procent av patienterna i åldern 65 år och äldre som fått specialistvård har varit med om att deras ordinarie läkare i primärvården saknade information från specialistvården. 36 procent har varit med om att den ordinarie läkaren inte var informerad om att patienten varit inskriven i slutenvården (Vård- och omsorgsanalys 2025d).
Även primärvårdsläkarna upplever utmaningar med samordningen med slutenvården, där bara hälften vanligtvis eller ofta har fått information om att deras patienter har blivit inlagda på sjukhus. Bara 5 procent har fått den information som krävs för att fortsätta vårda patienten efter en sjukhusvistelse inom 24 timmar efter utskrivning (Vård- och omsorgsanalys 2026). I vår ledningsenkät till regionerna ställde vi frågan hur samverkan om patienter i slutenvården fungerar mellan andra sjukhus, vårdcentraler och den kommunala hälso- och sjukvården. Tre av fyra svarade att samverkan med andra sjukhus i sjukvårdsregionen fungerar mycket eller ganska bra, jämfört med drygt 60 procent för samverkan med vårdcentraler eller den kommunala hälso- och sjukvården (se figur 46).
Figur 46. Andelen regioner som uppger att samverkan fungerar mycket eller ganska bra med olika vårdnivåer.

Källa: Vård- och omsorgsanalys ledningsenkät 2025. N: 18. Frågan var: Hur tycker du att samverkan kring patienter i slutenvården och följande delar av hälso- och sjukvården generellt fungerar?
Att ungefär två tredjedelar upplever att samverkan fungerar bra är återkommande i andra undersökningar som Vård- och omsorgsanalys har genomfört. I rapporten Omtag för omställning ställdes en liknande fråga riktad till MAS och MAR i kommunerna, där 69 procent svarade att samverkan med den somatiska slutenvården fungerade mycket eller ganska bra. Motsvarande siffra för den psykiatriska slutenvården var bara 29 procent (Vård- och omsorgsanalys 2025a). I en tidigare rapport såg vi att 67 procent av vårdcentralchefer svarade att samverkan med den specialiserade slutenvården fungerar mycket eller ganska bra, och att samverkan var svårare mellan privata vårdcentraler och slutenvården (Vård- och omsorgsanalys 2023).
Samtidigt som en majoritet upplever att samverkan fungerar bra mellan slutenvården och den kommunala hälso- och sjukvården finns det förbättringspotential. Nästan alla kommuner bedömer att bättre samordning med regionen i vården av äldre har stor betydelse för att kommunerna ska kunna använda sina resurser mer effektivt (Vård- och omsorgsanalys 2024).
6.6.2 Strukturer och goda relationer förutsättning för samverkan
I våra intervjuer med kommunrepresentanter finns det både exempel på kommuner där man upplever att samverkan med slutenvården fungerar bra, och där samverkan fungerar mindre bra. Det är även delade uppfattningar om hur väl samverkan med primärvården fungerar.
Generellt finns det en känsla av att slutenvården inte alltid är så intresserad av att samverka med kommunerna, men i de kommuner som har en mer positiv bild av samverkan är en ömsesidig relation och en förståelse för varandras arbetssätt och situation ett återkommande tema. I intervjuerna återkommer man till att det är viktigt att både kommunen och slutenvården arbetar tillsammans för patienten, och att man måste se varandra som kollegor med ett gemensamt mål. Det är viktigt att motverka en ”vi-och-dem-känsla”. Avgörande är att ha tillit och förtroende för varandras kompetens och beslut. Vikten av att förstå varandras processer har också framkommit i tidigare undersökningar (Vård- och omsorgsanalys 2024).
Kommunrepresentanterna lyfter fram att det är viktigt att slutenvården har insyn i kommunens förutsättningar, till exempel hur tillgången till läkare ser ut, och att kommunerna måste förhålla sig till socialtjänstlagen utöver hälso- och sjukvårdslagen. Men de säger också att kommunerna måste ha förståelse för hur slutenvården arbetar, till exempel hur ronder och utskrivningstidpunkter är upplagda.
Läget i dag med korta vårdtider och patienter med komplexa behov som rör sig mellan vårdnivåerna ställer höga krav på samverkan, och en fungerande samverkan kräver kontinuerligt arbete i form av utbildningar, uppdateringar och införande av underlag och arbetssätt. Samverkan försvåras av den höga personalomsättningen, framför allt i den kommunala hälso- och sjukvården, som innebär att man konstant måste arbeta med frågorna.
6.7 Informationsöverföring viktig för samverkan vid utskrivning
En grundläggande förutsättning för att samverkan vid utskrivning ska fungera, och för att förebygga framtida slutenvård är att det finns ett fungerande informationsutbyte mellan olika vårdnivåer. Under perioder med hög belastning på slutenvården upplever kommunrepresentanterna i våra intervjuer att informationsöverföringen fungerar sämre.
6.7.1 Lagen om samverkan vid utskrivning är en drivkraft
Lagen (2017:612) om samverkan vid utskrivning från sluten hälso- och sjukvård infördes 2018 och har haft stor betydelse för hur kommunerna och slutenvården arbetar med utskrivningar från slutenvården. Bland annat innebär lagen att huvudmännen ska komma överens om centrala frågor om utskrivningsprocessen (prop. 2016/17:106).
En viktig aspekt av lagen är förändringar av kommunernas betalningsansvar jämfört med tidigare. För kommunerna innebär det ett betalningsansvar som träder i kraft tre dagar efter att de informerats om att en patient i slutenvården är utskrivningsklar om de inte enats om annat. Regionerna är skyldiga att skicka ett inskrivningsmeddelande och informera berörda enheter i kommunen om att patienten är utskrivningsklar.
För kommunerna är lagen en stark drivkraft att arbeta med utskrivningsprocesserna. I flera intervjuer tar man upp att de sedan lagen infördes har arbetat med att utveckla lämpliga strukturer för informationsöverföring, så att de enklare ska kunna ta hem patienten på ett säkert sätt vid utskrivningen. Men i ett par intervjuer framgår att lagen försätter kommunerna i en svår situation i vissa lägen. Det kan till exempel handla om att kommunerna inte håller med om att patienterna kan lämna sjukhuset, eller situationer där primärvården och slutenvården inte kan enas om vem som ska ha det medicinska ansvaret. Kommunerna kan inte överpröva de beslut som fattas i slutenvården på grund av att man själv inte har tillgång till läkare.
6.7.2 Fungerande informationsöverföring nödvändig för patientsäkra utskrivningar
I våra intervjuer med representanter för regionerna framgår det att patienter inte skrivs ut från slutenvården om de inte är medicinskt färdigbehandlade. Samtidigt upplever den kommunala hälso- och sjukvården ofta att patienterna inte är hemgångsklara vid utskrivning (Vård- och omsorgsanalys 2025c). I våra intervjuer med kommunrepresentanter förklarar de att en anledning till det kan vara att kommunerna inte har fått tillräckligt med information för att ta över patienterna efter utskrivning. Patienterna kan vara medicinskt färdigbehandlade på sjukhuset, men kräva avancerade insatser inom den kommunala hälso- och sjukvården som de behöver få utbildning i innan de tar hem patienterna. Det kan också saknas läkemedelslistor eller annan viktig information eller så är de inte uppdaterade. Om den informationen saknas upplever kommunerna att patienterna inte är redo att lämna sjukhuset, eftersom de inte kan säkerställa ett patientsäkert mottagande.
Kommunerna upplever utmaningar med informationsöverföringen från slutenvården, särskilt under perioder när belastningen är hög på sjukhusen och personalen har mindre tid för rapportering. Generellt upplever kommunerna att de måste lägga mycket tid på att följa upp när utskrivning faktiskt kommer att ske. De upplever att det i dag finns ett system där det preliminära utskrivningsdatumet ofta flyttas fram en dag i taget. MAS och MAR upplever också att personalen måste lägga mycket tid på att jaga information, som uppdaterade läkemedelslistor (Vård- och omsorgsanalys 2025c).
7 Slutsatser och rekommendationer
I det här kapitlet presenterar vi slutsatserna från vår utvärdering av regeringens satsning. Vi bedömer att satsningen hittills har haft begränsade effekter för patienter och verksamheter, men att regionerna arbetat aktivt med frågan. Samtliga regioner har valt insatser i linje med satsningens syfte och en tredjedel av regionerna har arbetat på ett till största delen ändamålsenligt sätt. Vi ser också att förändringar i slutenvårdens kapacitet behöver analyseras i ett bredare systemperspektiv, där den kommunala hälso- och sjukvårdens förutsättningar påverkas av slutenvårdens kapacitet.
7.1 Satsningen har hittills haft en begränsad effekt för patienter och verksamheter, men vi ser vissa positiva tecken
Vår första fråga att besvara är i vilken utsträckning satsningens mål har uppnåtts. Vi har utvärderat måluppfyllelsen utifrån tillgänglig statistik och enkäter riktade till ledningsrepresentanter och vårdplatskoordinatorer i regionerna.
Sammantaget bedömer vi att satsningen hittills haft en begränsad effekt på patienter och verksamheter. Men vi ser att regionerna arbetar med frågan.
7.1.1 Antalet vårdplatser har inte ökat, men avståndet till riktvärdet har minskat
Under 2022–2024 ökade antalet somatiska vårdplatser i sju regioner, men minskade samtidigt i 13 regioner. Sammantaget har antalet vårdplatser på nationell nivå inte ökat under 2022–2024, utan ser snarare ut att ha minskat något. Bristen på tillgängliga och tillförlitliga data för antalet vårdplatser under 2025 gör att vi inte kan säga hur utvecklingen sett ut efter 2024.
Trots att antalet vårdplatser inte har ökat bedömer Socialstyrelsen ändå att avståndet till riktvärdet på kort sikt för antalet somatiska vårdplatser har minskat på nationell nivå. Minskat avstånd till riktvärdet kan uppnås genom att regioner ökar antalet vårdplatser, minskar det uppskattade vårdplatsbehovet eller en kombination av båda. Jämfört med 2022 hade 14 regioner minskat sitt avstånd till riktvärdet 2024. Avståndsminskningen förklaras främst med att Socialstyrelsen bedömer att behovet av vårdplatser har minskat, vilket innebär att antalet vårdplatser som regionerna behöver ha för att uppfylla riktvärdet har minskat. Det uppskattade behovet av vårdplatser enligt riktvärdet på kort sikt för somatisk vård påverkas av hur mycket slutenvård regionen producerar i dag, antal slutenvårdspatienter som får vänta längre än vårdgarantin och antal patienter som får vänta längre än 4 timmar på akutmottagningen innan de blir inskrivna i slutenvården.
Det är vanligare att regioner som har haft ett stort avstånd till riktvärdet har ökat antalet vårdplatser än att regioner med mindre avstånd till riktvärdet har gjort det. Men om vi jämför regionen med störst underskott enligt riktvärdet med regionen med störst överskott, har det inte skett någon betydande utjämning. Dock har det skett en förändring i vilken region som har störst underskott. Detta eftersom regionen med störst underskott 2022 har förbättrat sig samtidigt som en annan region som också hade stort underskott 2022 har ökat sitt underskott.
7.1.2 Färre överbeläggningar och utlokaliseringar i statistiken
En av ambitionerna med satsningen är att en förbättrad vårdplatssituation inom slutenvården ger positiva effekter för patientsäkerheten, bland annat genom att minska antalet överbeläggningar och utlokaliseringar. I vår utvärdering ser vi vissa tecken på förbättringar som kan leda till en ökad patientsäkerhet, men osäkerheten är stor.
Enligt statistiken är antalet överbeläggningar och utlokaliseringar lägre nu än när satsningen började, vilket kan innebära att fler patienter vårdas på fullvärdiga vårdplatser och på rätt avdelning för deras behov. Samtidigt har vi i vår delrapport beskrivit hur förändringar i måtten överbeläggningar och utlokaliseringar kan fånga andra aspekter, som ändrad datarapportering med mera. Minskningen av överbeläggningar och utlokaliseringar kan alltså ha flera olika orsaker, vilket gör det svårt att säga i vilken utsträckning patientsäkerheten har förbättrats. Möjligheten att utvärdera patientsäkerhet försvåras också av att det inte finns ändamålsenlig statistik som fångar utvecklingen. Till exempel finns det inte längre någon nationellt tillgänglig statistik över vårdskador.
7.1.3 Ledningen ser positivt på utvecklingen
Trots att satsningen ännu inte lett till en nationell ökning av antalet vårdplatser, genomför samtliga regioner olika insatser för att förbättra vårdplatssituationen. Till exempel har nästan alla regioner arbetat aktivt med att minska antalet överbeläggningar och utlokaliseringar. I vår enkät har samtliga svarande regioner tagit del av stöd från Socialstyrelsen för att förbättra vårdplatssituationen eller vårdkapaciteten. I en majoritet av regionerna bedömer ledningsrepresentanterna att möjligheterna att tillgodose slutenvårdsbehovet är bättre i dag än 2023, och att de ser positivt på sin regions förutsättningar att tillgodose behovet i framtiden.
7.1.4 Verksamheterna märker inte någon förbättring
Trots positiva tecken från ledningsrepresentanterna i regionerna, ser vi inte att arbetet har haft någon effekt på vårdplatskoordinatorernas arbetssituation. Nästan hälften anser att det har blivit svårare att hitta en ledig vårdplats sedan 2023, och få upplever att antalet överbeläggningar och utlokaliseringar har minskat. Samtidigt ser vi att vårdplatskoordinatorerna är något mindre negativa i regioner där ledningsrepresentanterna är positivt ställda till förutsättningarna att tillgodose behovet av vårdplatser i sin region, och i regioner där antalet vårdplatser har ökat.
En möjlig förklaring till att ledningsrepresentanter och vårdplatskoordinatorer har olika bild av vårdplatssituationen är att det kan ta tid att ta fram och testa insatser, införa dem brett i verksamheter, och slutligen utvärdera om de får effekt. De positiva tecken som ledningsrepresentanterna ser har sannolikt ännu inte fått effekt i verksamheternas vardag. Att vårdplatskoordinatorerna har en något mindre negativ bild i regioner där ledningsrepresentanterna har en positiv bild av utvecklingen kan vara ett tecken på att arbetet har börjat ge effekt.
Eftersom vi saknar detaljkunskap om regionernas insatser och deras effekter är det svårt att dra några slutsatser från det faktum att vårdplatskoordinatorerna svarar mindre negativt i regioner som ökat antalet vårdplatser än i regioner där man fokuserat mer på andra typer av insatser.
7.1.5 Inga tydliga effekter för patienterna
I vår delrapport såg vi att patienter som råkat ut för vårdplatsbrist har sämre erfarenheter av sitt vårdbesök, till exempel i form av sämre kontakt med vårdpersonalen. De upplever också mindre ofta att deras vårdbehov tillgodosetts, samt känner sig oftare otrygga vid sin utskrivning. Med tanke på att antalet vårdplatser inte ökat nationellt, och att vår vårdplatskoordinatorsenkät visar att det inte har skett några förbättringar för verksamheterna, bedömer vi att det är osannolikt att vårdplatssituationen förbättrats till den grad att de negativa konsekvenserna har minskat för patienterna.
7.2 Regionernas arbete är delvis ändamålsenligt
I vårt uppdrag ska vi besvara frågan om regionernas insatser har varit ändamålsenliga. För att besvara den frågan har vi studerat om inriktningen på regionernas insatser ligger i linje med den statliga styrningen, hur regionerna har arbetat med genomförandet av insatserna samt hur måluppfyllelsen i satsningen har sett ut. Det har inte varit möjligt att särskilja vilka insatser regionerna har gjort på grund av vårdplatssatsningen från andra insatser som regionerna har gjort på området.
Sammantaget ser vi att den statliga styrningen har gett regionerna fria händer att välja insatser efter behov, och vi ser att regionerna har valt insatser i linje med satsningens syfte. En tredjedel av regionerna har arbetat ändamålsenligt till stor del, och vi ser en viss tendens att dessa regioner oftare har ökat antalet vårdplatser och har en mer positiv syn på utvecklingen. Men det saknas förutsättningar för att tydligt kunna knyta enskilda insatser till måluppfyllelsen.
7.2.1 Satsningen har varit mer stödjande än hårt styrande
Satsningens statliga styrning sätter ramarna för regionernas arbete, och för att kunna bedöma i vilken utsträckning regionerna arbetat i linje med satsningens intention har vi analyserat den statliga styrningen. Vi har analyserat den statliga styrningen utifrån sju dimensioner, och konstaterar att det finns flera utmaningar i styrningen för regionerna att hantera. Det handlar till exempel om kort framförhållning för medlen för att minska överbeläggningar och utlokaliseringar, tillsammans med mängden styrsignaler i form av olika regeringsuppdrag. De utmaningarna kan vara en bidragande faktor till att vi ännu inte kan se att satsningen har lett till tydliga effekter. Samtidigt finns det positiva aspekter av den statliga styrningen, till exempel Socialstyrelsens stödjande roll.
Sammantaget ser vi att den statliga styrningen har gett regionerna stora möjligheter att själva välja inriktning på sitt arbete. Det övergripande målet med satsningen har dessutom förflyttats och breddats över tid. Fokus har förflyttats från det ursprungliga målet att öka antalet vårdplatser, till att öka vårdens kapacitet. Det innebär att satsningens utformning är bred, och utöver att peka ut den önskvärda riktningen har satsningen inte tydligt styrt mot specifika insatser, till exempel innehåller Socialstyrelsens förslag till en nationell plan för att minska vårdplatsbristen, Plats för vård, fler än 100 insatser. Den ekonomiska styrningen har också blivit mindre riktad med tiden, till exempel genom att medlen för att minska överbeläggningar och utlokaliseringar har ersatts av det nya statsbidraget för tillgänglighet och vårdkapacitet.
En viktig del av den statliga styrningen har varit Socialstyrelsens arbete. De har konkretiserat den annars ganska generella styrningen, samt stöttat genomförandet genom att bidra med bland annat kunskapsstöd och utbildningar samt riktvärden och målsatta mått för satsningen. Alla regioner har tagit del av någon form av stöd från Socialstyrelsen.
Vi kan inte se att den statliga styrningen har varit avgörande för regionernas val av insatser. Regionernas val har snarare drivits av interna behovsanalyser, varit i linje med tidigare pågående arbete eller påbörjats innan satsningen inleddes. Regionsrepresentanterna har även generellt varit positivt ställda till det stöd som Socialstyrelsen erbjudit. En del har också tagit upp att det finns ett signalvärde i att det har inletts en satsning som visar att vårdplatser är en prioriterad fråga.
Sammantaget kan vi säga att den statliga styrningen har varit stödjande för regionernas eget arbete snarare än hårt styrande, och att det har uppskattats av regionerna. En fördel med styrningen är att regionerna har haft möjlighet att anpassa sitt arbete efter sina egna omständigheter. Samtidigt blir det mer komplext att utvärdera effekten av insatserna.
7.2.2 Samtliga regioner har valt insatser i linje med satsningens syfte
En aspekt av ändamålsenlighet är om regionerna har valt insatser som ligger i linje med regeringens intention eller inte. Regionernas insatser ligger i linje med den breddade statliga styrningen. Vi ser att regionerna har arbetat med en bredd av insatser, till exempel insatser med fokus på slutenvården, andra delar av vårdkedjan samt hälso- och sjukvårdssystemet i stort.
Insatserna har främst fokuserat på att minska vårdplatsbristen, snarare än att öka antalet vårdplatser. Men eftersom målet med satsningen även inkluderar att minska vårdplatsbristen, är valet av insatser ändamålsenligt.
7.2.3 Var tredje region har arbetat ändamålsenligt
En annan aspekt av ändamålsenlighet är om regionerna har arbetat med insatserna på ett sådant sätt att det ger förutsättningar för insatserna att bidra till måluppfyllelsen. Ingen region har uppfyllt alla dimensioner för ändamålsenligt arbete med insatserna. Men en tredjedel av regionerna har uppfyllt de flesta, genom att genomföra behovsanalyser, definiera mål och följa upp dem samt involvera verksamhetsföreträdare. Vi kan se tendenser på att regioner som arbetat ändamålsenligt med genomförandet av olika insatser oftare än andra regioner har rapporterat att deras insatser i hög utsträckning har ökat vårdens kapacitet eller antalet vårdplatser. Vi ser också att de har en mer positiv bild av utvecklingen sedan 2023 och skattar möjligheterna att tillgodose behoven av slutenvård i framtiden som bättre.
7.2.4 Hittills begränsade effekter för regionernas insatser
Ytterligare en aspekt av ändamålsenligheten är måluppfyllelsen. Som vi konstaterade i den första övergripande slutsatsen bedömer vi att satsningen hittills har haft en begränsad effekt för patienter och verksamheter. Det tyder på att regionernas insatser generellt har haft relativt begränsade effekter hittills. Dock kan det ta tid innan insatser ger effekt och därför bedömer vi att det är för tidigt att utifrån denna aspekt dra slutsatser om regionernas insatser är ändamålsenliga eller inte.
Bredden av insatser som varje region har påbörjat, samt avsaknaden av återrapporteringskrav innan 2025 gör det svårt att relatera de enskilda insatserna till olika utfall. Därför går det inte att utvärdera om enskilda insatser har varit ändamålsenliga för att uppnå satsningens mål. Under 2025 slöt regionerna överenskommelser med Socialstyrelsen där möjligheterna till uppföljning har stärkts, vilket på sikt kan stärka förutsättningarna att utvärdera.
7.3 Ökad kapacitet i vården kräver helhetssyn på systemet
I vår utvärdering undersöker vi hur vårdplatssituationen påverkar den kommunala hälso- och sjukvården som en del i att bedöma satsningen ur ett systemperspektiv. Vi ser att olika delar av hälso- och sjukvården påverkar varandra, och att det därför krävs en helhetssyn på systemet för att hållbart kunna öka vårdens kapacitet. Samtidigt saknas i dag förutsättningar att med nationell statistik kunna följa patienters förflyttningar mellan vårdnivåer och vilka konsekvenser förändringar i kapaciteten på en vårdnivå får för de andra vårdnivåerna.
7.3.1 Kommunala hälso- och sjukvården påverkas av slutenvården
Den kommunala hälso- och sjukvården spelar en viktig roll för in- och utflödet av patienter till slutenvården, eftersom många patienter rör sig mellan vårdnivåerna.
Det är inte nödvändigtvis vårdplatsbrist i slutenvården som märks mest i den kommunala hälso- och sjukvården, men en bristande kapacitet märks av. Under perioder när läget är ansträngt i slutenvården märker den kommunala hälso- och sjukvården av det, framför allt genom att samverkan och informationsöverföring försämras. Men det kan också handla om patienter som skrivs ut från slutenvården utan att kommunerna har förutsättning att ta hand om dem på bästa sätt.
Även under förhållandevis lugnare perioder i slutenvården utmanas kommunerna av de korta vårdtiderna i slutenvården, tillsammans med ett ökat vårdbehov hos patienterna. Den kommunala hälso- och sjukvården har över tid fått ett utökat ansvar för vård och omvårdnad som tidigare gavs inom slutenvården.
Vi ser att regionerna har arbetat med att minska belastningen i slutenvården med insatser som kan få konsekvenser för vården utanför slutenvården, till exempel att minska antalet utskrivningsklara patienter på sjukhuset, stärka samverkan med kommunal hälso- och sjukvård, införa mobila team och arbeta med akutflödesprocessen.
Parallellt med att slutenvården arbetar med att minska behovet av slutenvårdsplatser är det viktigt att säkerställa att kommunerna får förutsättningar att hantera eventuella behovsminskningar inom slutenvården, som leder till att vård- och omsorgsinsatser flyttas från slutenvården till den kommunala hälso- och sjukvården. Rätt förutsättningar kan handla om flera olika faktorer, bland annat kompetens och tillräckligt med personal.
7.3.2 Kan inte följa upp patienter från slutenvården till andra delar av vården
För att kunna bedöma hur satsningen och slutenvårdens arbete påverkar övriga delar av hälso- och sjukvården, behövs det förutsättningar för att följa förändringar i slutenvårdens kapacitet, och hur förändringarna påverkar andra vårdnivåer.
I dag finns det inga förutsättningar att genom tillgänglig statistik följa patientflöden från öppenvård till slutenvård, och mellan den kommunala och regionala hälso- och sjukvården. Det finns heller ingen tydlig definition av vad som avses med vårdens kapacitet, och hur det ska följas upp. Det innebär att det heller inte finns möjligheter att studera om förändringar i slutenvårdens kapacitet påverkar systemet genom förändrade in- och utflöden av patienter från slutenvården till och från övriga delar av vården.
Det finns inte heller någon tydlig definition av kapaciteten i den kommunala hälso- och sjukvården, och hur den påverkar slutenvården. Det gör att vi inte kan utvärdera om och hur kapaciteten i den kommunala hälso- och sjukvården påverkar slutenvården, och hur förändringar i slutenvårdens kapacitet påverkar belastningen i den kommunala hälso- och sjukvården. Det är viktigt att kunna följa det för att säkerställa att till exempel minskat behov av vårdplatser inte innebär att den kommunala hälso- och sjukvården blir överbelastad.
7.4 Vi lämnar fem rekommendationer
Utifrån vår utvärdering av satsningen lämnar vi fem rekommendationer. Syftet med de tre första är att stärka en långsiktig och systemövergripande styrning, som möjliggör positiva effekter för verksamheterna och i förlängningen för patienterna. Syftet med de två sista rekommendationerna är att förbättra förutsättningarna för uppföljning och lärande.
Regeringen bör fortsätta fokusera på vårdkapacitet och säkerställa att utvecklingen fortsatt följs upp
En förutsägbar och långsiktig statlig styrning är ett sätt för regeringen att stärka förutsättningarna för regionerna att arbeta ändamålsenligt för att nå satsningars mål. Vi ser positivt på de steg som regeringen har tagit i riktning mot ett långsiktigt fokus på vårdkapacitet, till exempel att regeringen har gjort ändringar i förordningen (2015:284) med instruktion för Socialstyrelsen som innebär att Socialstyrelsen ska arbeta med att stödja utvecklingen när det gäller vårdkapacitet. Regionerna uppger att de är positiva till Socialstyrelsens stödjande arbete och till fokusförflyttningen från vårdplatser till vårdkapacitet. Vi rekommenderar därför att regeringen fortsätter att fokusera på vårdkapacitet.
Samtidigt som vi ser att det pågår arbete i regionerna kan vi konstatera att det ännu inte går att se tydliga effekter av satsningen för patienter och verksamheter. En möjlig förklaring kan vara att det har gått för kort tid för att insatserna ska ha hunnit ge tydlig effekt. Vi rekommenderar därför att regeringen fortsätter att följa upp och utvärdera satsningen för att säkerställa att regeringens styrning och regionernas insatser börjar bidra till satsningens mål. Om arbetet inte börjar ge tydliga effekter med tiden behöver regeringen justera sin styrning.
En annan viktig del i förutsägbar och långsiktig statlig styrning är att regionerna tilldelas medel på ett sätt som möjliggör längre framförhållning i planeringen. Regeringen bör därför ha detta i åtanke när medel till regionerna planeras, och i största möjligaste mån styra mot lång framförhållning. Det är viktigt för att stärka regionernas förutsättningar att arbeta ändamålsenligt.
Regeringen bör stärka system- och helhetsperspektivet i styrningen
Slutenvården påverkas av, och påverkar, andra delar av hälso- och sjukvården. För att öka vårdens kapacitet är det därför viktigt att regeringen, regionerna och kommunerna har ett systemperspektiv i hela sitt arbete. De behöver ta hänsyn till hur samtliga vårdnivåer samspelar och vilka förutsättningar som krävs för att förändringar ska vara hållbara för hela hälso- och sjukvårdssystemet.
Ett positivt exempel på systemperspektivet inom vårdplatssatsningen är att Socialstyrelsen i sitt förslag till nationell plan för att minska vårdplatsbristen lyfter fram Ställ om till god och nära vård som ett av fem fokusområden samt i planen både föreslår insatser för att öka antalet vårdplatser och minska vårdplatsbehovet (Socialstyrelsen 2024a). För att stärka förutsättningarna för att den totala vårdkapaciteten ska tillgodose patienternas behov, är det viktigt att primärvården har goda förutsättningar. Vi har tidigare lämnat rekommendationer som är viktiga för detta och som vi fortfarande bedömer är relevanta. Det handlar till exempel om att stärka primärvårdens förutsättningar för omställningen till en god och nära vård (Vård- och omsorgsanalys 2025a) och att stärka samverkan mellan regioner och kommuner (Vård- och omsorgsanalys 2025b). Att samverkan är viktig är också något som framgår i den senaste propositionen om god och nära vård (prop. 2025/26:19).
Vi vill särskilt lyfta fram behovet av att stärka kommunernas förutsättningar, eftersom vi har sett att de upplever att det är utmanande att hantera förflyttningen av vård- och omsorgsinsatser som sker när patienterna skrivs ut snabbare från slutenvården. Vi rekommenderar därför att regeringen ser över hur det kommunala perspektivet kan stärkas i arbetet med att öka vårdens kapacitet. Det kan bland annat röra sig om att förtydliga kommunernas roll och ansvar inom arbetet med att öka vårdens kapacitet. Inom ramarna för det arbetet är det viktigt att ta hänsyn till kommunernas kapacitet att hantera fler statliga styrsignaler, så att den statliga styrningen är ändamålsenlig och möjliggör en förbättring på systemnivå.
Utöver ett systemperspektiv i arbetet med att öka vårdens kapacitet, är det också viktigt med ett helhetsperspektiv från statligt håll på hur olika satsningar kan stärka eller motverka varandra. Satsningen behöver ses i ett sammanhang, tillsammans med andra satsningar och reformer. Därför rekommenderar vi att regeringen förtydligar och kommunicerar hur olika satsningar inom hälso- och sjukvården hänger samman.
Regionerna bör prioritera insatser som gör tydlig skillnad i verksamheterna och för patienterna
Trots att det pågår många insatser och att regionledningen ser positivt på utvecklingen när det gäller möjligheterna att tillgodose behovet av vårdplatser, upplever vårdplatskoordinatorerna i vår enkätundersökning ingen förbättring. De ser snarare att vårdplatssituationen har blivit mer utmanande sedan 2023. Det talar för att insatserna inte har gjort tydliga skillnader ute i verksamheterna.
Vårdplatsbristen påverkar dessutom patienternas upplevelser av slutenvården negativt. Vi har även sett att hög belastning på personalen i slutenvården försämrar slutenvårdens och den kommunala hälso- och sjukvårdens förutsättningar att få till ett patientsäkert överlämnade av patienter vid utskrivning.
Det är regionernas ansvar att se till att befolkningens vårdbehov blir tillgodosedda, inklusive att vårdplatsbehovet blir tillgodosett. Det är därför viktigt att regionernas insatser ger tydligt märkbara effekter för verksamheterna och i förlängningen för patienterna. Vi rekommenderar att regionerna prioriterar insatser som förväntas ge det. Till exempel kan det fortsatta arbetet handla om att prioritera insatser som har en tydlig effekt för arbetsmiljön inom slutenvården. Även här är det viktigt att regionerna ser hälso- och sjukvården ur ett systemperspektiv, och att de utvärderar och följer upp att insatserna inte leder till negativa effekter i övriga delar i hälso- och sjukvårdssystemet.
Vi kan inte ge mer konkreta rekommendationer på vilka insatser regionerna bör införa. Dock föreslår Socialstyrelsen många insatser i sin nationella plan för att minska vårdplatsbristen (Socialstyrelsen 2024a). Enligt Socialstyrelsen behöver regionerna välja insatser utifrån sina behov och förutsättningar, vilket vi instämmer i.
Regeringen och relevanta myndigheter bör stärka förutsättningarna för lärande och uppföljning i hela hälso- och sjukvårdssystemet
Det behöver finnas tillförlitliga data som beskriver hela vård- och omsorgskedjan på individnivå. Först då kan vi följa patienternas förflyttning mellan olika vårdnivåer och dra slutsatser om hur förändringar i slutenvårdens kapacitet påverkar andra delar av hälso- och sjukvården. På så sätt stärks förutsättningarna att kunna följa om förändringar i slutenvårdens kapacitet eller arbetssätt får konsekvenser för den typ av vård eller omsorg som patienterna får före och efter en slutenvårdsinläggning.
Vård- och omsorgsanalys har instämt i de förslag som lämnades av Utredningen om hälsodataregister, till exempel att privata vårdgivare ska omfattas av uppgiftsskyldigheten till registret över insatser inom kommunal hälso- och sjukvård (SOU 2024:57). Vi har även i en rapport rekommenderat detta, och att det ska införas ett primärvårdsregister (Vård- och omsorgsanalys 2025a).
I linje med det rekommenderar vi att regeringen ger Socialstyrelsen i uppdrag att kartlägga den kommunala hälso- och sjukvårdens kapacitet, och hur den påverkar slutenvården. En del i ett sådant uppdrag bör också vara att ta fram en definition över vad som ingår i den kommunala hälso- och sjukvårdens kapacitet och hur den kan mätas. En sådan kartläggning skulle kunna visa vilken information som saknas eller behöver utvecklas, för att skapa förutsättningar att systematiskt följa upp förändringar i kommunernas arbetssätt och kapacitet.
Regeringen och relevanta myndigheter bör säkerställa att arbetet för god datakvalitet fortsätter
Vi har konstaterat att det finns utmaningar med att följa upp konsekvenserna av satsningen för slutenvården. Det handlar bland annat om bortfall i statistiken, att hur begrepp och definitioner omsätts i praktiken skiljer sig åt mellan regioner samt eftersläpningar i datarapporteringen. Sammantaget innebär svårigheterna att det inte går att få en korrekt och aktuell nationell bild av antalet vårdplatser, överbeläggningar och utlokaliseringar. För att kunna följa upp satsningens effekter, är det avgörande att måtten finns tillgängliga och med god kvalitet.
Här har Socialstyrelsen en viktig roll, och vi rekommenderar därför att regeringen fortsätter att prioritera Socialstyrelsens arbete med att utveckla sin väntetidsdatabas. Det pågår ett arbete hos Socialstyrelsen att ta över SKR:s väntetidsdatabas. Vi ser positivt på att Socialstyrelsen tillsammans med SKR ser över inrapporteringsmodellen för vårdplatser, för att öka jämförbarheten mellan regionernas data (Socialstyrelsen 2025d). Inom det arbetet är det viktigt att kontinuerligt arbeta med att säkerställa att vårdplatsdata håller god kvalitet, och att man löpande diskuterar centrala begrepp och definitioner. Det är särskilt viktigt i takt med att alltfler regioner arbetar med att kunna erbjuda vårdplatser på andra ställen än på sjukhuset.
I arbetet med att stärka datakvaliteten är det viktigt att säkerställa tillräcklig kvalitet på data, så att det går att dra slutsatser utifrån den statistik som finns. Men det är också viktigt att säkerställa att eftersläpningen i statistiken inte är alltför stor, eftersom det finns ett värde i att kunna få en aktuell bild av vårdplatssituationen. Det är viktigt att balansera dessa två perspektiv i det framtida arbetet.
Referenser
af Ugglas, B. (2021). Hur påverkas patientsäkerheten av överbelastade akutmottagningar och vårdplatsbrist? SNS Analys.
Arbetsmiljöverket (2025). Tillsynsrapport – Organisatorisk arbetsmiljö inom sjukvården.
Boverket (2025). Bristen på särskilda boenden för äldre är fortsatt stor. https://www.boverket.se/sv/samhallsplanering/bostadsmarknad/bostadsmarknaden/bostadsmarknadsenkaten/olika-grupper/aldre/sarskilda/ [hämtat 2026-02-11].
Försäkringskassan (2026). Psykisk ohälsa i dagens arbetsliv. (Försäkringskassans lägesrapport 2026:1).
IVO (2023). Delredovisning av den nationella sjukhustillsynen. Inspektionen för vård och omsorg.
IVO (2025). Ej verkställda beslut. https://www.ivo.se/statistik/ej-verkstallda-beslut/ [hämtat 2026-02-11].
Kolada (2025). Invånare 80+ i särskilt boende, andel (%), Riket. https://kolada.se/verktyg/fri-sokning/?kpis=23448&years=30202,30201,30200&municipals=82304&rows=municipal,kpi&visualization=&focus=82304 [hämtat 2025-12-02].
Regeringskansliet (2025). Mångmiljardsatsning på ökad vårdkapacitet och kortare vårdköer. https://www.regeringen.se/pressmeddelanden/2025/01/mangmiljardsatsning-pa-okad-vardkapacitet-och-kortare-vardkoer/ [hämtat 2025-07-03].
Riksrevisionen (2016). Statens styrning genom riktade statsbidrag inom hälso- och sjukvården. (RIR 2016:29).
Riksrevisionen (2022). På skakig grund – beslutsunderlag inför stora reformer. (RiR 2022:15).
Sjukhusläkaren (2024). Bristen på vårdplatser dödar. 29 oktober. https://www.sjukhuslakaren.se/bristen-pa-vardplatser-dodar/ [hämtat 2026-02-26].
SKR (2022). Fakta om vårdplatser. Sveriges Kommuner och Regioner.
SKR (2025a). Psykiatrin i siffror. Vuxenpsykiatrin. Kartläggning 2024. Sveriges kommuner och regioner.
SKR (2025b). Överbeläggningar och utlokaliserade patienter. https://extra.skr.se/vantetiderivarden/vantetidsstatistik/overbelaggningarochutlokaliseradepatienter.54399.html [hämtat 2025-12-19].
SKR:s verksamhetsstatistik (2025). Regionernas verksamhetsstatistik 2024. https://skr.se/halsaochsjukvard/ekonomiochavgiftersjukvard/ekonomiochverksamhetsstatistiksjukvard.7872.html [hämtat 2025-12-02].
SKR:s väntetidsdatabas (2026a). Utskrivningsklara patienter och patienter i sluten vård. Belagda platser. Alla län. Somatik. 2022–2025, Januari–December. https://extra.skr.se/vantetiderivarden/vantetidsstatistik/utskrivningsklarapatienter.54395.html [hämtat 2026-02-02].
SKR:s väntetidsdatabas (2026b). Överbeläggningar och utlokaliserade patienter, Disponibla vårdplatser, Alla regioner, Somatik, 2024–2025, Januari–December. https://extra.skr.se/vantetiderivarden/vantetidsstatistik/overbelaggningarochutlokaliseradepatienter.54399.html [hämtat 2026-02-02].
SKR:s väntetidsdatabas (2026c). Överbeläggningar och utlokaliserade patienter. Disponibla vårdplatser, Alla regioner, Psykiatri, 2024–2025, Januari–December. https://extra.skr.se/vantetiderivarden/vantetidsstatistik/overbelaggningarochutlokaliseradepatienter.54399.html [hämtat 2026-02-03, 2026-02-05].
SKR:s väntetidsdatabas (2026d). Överbeläggningar och utlokaliserade patienter. Utlokaliseringar, Alla regioner, Somatik, 2022–2025, Januari–December. https://extra.skr.se/vantetiderivarden/vantetidsstatistik/overbelaggningarochutlokaliseradepatienter.54399.html [hämtat 2026-02-02].
SKR:s väntetidsdatabas (2026e). Överbeläggningar och utlokaliserade patienter. Överbeläggningar, Alla regioner, Somatik, 2022–2025, Januari–December. https://extra.skr.se/vantetiderivarden/vantetidsstatistik/overbelaggningarochutlokaliseradepatienter.54399.html [hämtat 2026-02-02].
Socialdepartementet (2022a). Uppdrag att betala ut statsbidrag till regionerna för att öka antalet vårdplatser. S2022/01057 (delvis).
Socialdepartementet (2022b). Uppdrag att strategiskt, långsiktigt och kontinuerligt följa upp och föra dialog om hälso- och sjukvårdens tillgänglighet. S2022/01664 (delvis).
Socialdepartementet (2022c). Uppdrag att stödja och stärka regionernas produktions- och kapacitetsplanering samt lämna förslag på målvärden för antalet vårdplatser. S2022/01373 (delvis).
Socialdepartementet (2023a). Uppdrag att fördela, betala ut och följa upp medel för att öka antalet disponibla vårdplatser. S2023/00680 (delvis).
Socialdepartementet (2023b). Uppdrag att ta fram förslag till en nationell plan för att minska bristen på vårdplatser inom hälso- och sjukvården. S2023/00679 (delvis).
Socialdepartementet (2023c). Uppdrag att utvärdera regeringens satsning på att öka antalet vårdplatser inom hälso- och sjukvården. S2023/01863.
Socialdepartementet (2024a). Uppdrag att bidra till att stärka samt följa upp tillgängligheten och vårdkapaciteten på regional och nationell nivå. S2024/01058 (delvis).
Socialdepartementet (2024b). Uppdrag att följa och bedöma regionernas arbete i enlighet med överenskommelsen om ökad tillgänglighet i hälso- och sjukvården. S2024/01059 (delvis).
Socialdepartementet (2024c). Uppdrag att fördela, betala ut och följa upp medel för att öka antalet disponibla vårdplatser. S2024/00483 (delvis).
Socialdepartementet (2025). Utbetalning av medel till regionerna för att stärka den specialiserade psykiatriska vården för barn och unga respektive vuxna. S2025/01235.
Socialdepartementet (2026). Uppdrag till Socialstyrelsen att genomföra nationella utvecklingsinsatser för att stärka den specialiserade psykiatriska vården för vuxna med särskilt fokus på ökad vårdkapacitet. S2025/01528 S2025/02071 S2026/00095 (delvis).
Socialdepartementet och SKR (2022a). Ökad tillgänglighet i hälso- och sjukvården 2022. Överenskommelse mellan staten och Sveriges Kommuner och Regioner.
Socialdepartementet och SKR (2022b). Ökad tillgänglighet i hälso- och sjukvården 2023. Överenskommelse mellan staten och Sveriges Kommuner och Regioner.
Socialdepartementet och SKR (2023). Ökad tillgänglighet i hälso- och sjukvården 2024. Överenskommelse mellan staten och Sveriges Kommuner och Regioner.
Socialdepartementet och SKR (2025). Strategiska insatser inom området psykisk hälsa och suicidprevention. Överenskommelse mellan staten och Sveriges Kommuner och Regioner 2025.
Socialstyrelsen (2023a). På väg mot en nationell plan för att minska bristen på vårdplatser. Delredovisning av regeringsuppdrag att ta fram förslag till en nationell plan för att minska bristen på vårdplatser inom hälso- och sjukvården.
Socialstyrelsen (2023b). Riktvärden för beläggningsgrad och vårdplatser. Delredovisning av uppdraget att stödja och stärka regionernas produktions- och kapacitetsplanering.
Socialstyrelsen (2023c). Vård och omsorg för äldre. Lägesrapport 2023.
Socialstyrelsen (2024a). Plats för vård. Förslag till en nationell plan för att minska bristen på vårdplatser i hälso- och sjukvården.
Socialstyrelsen (2024b). Statistik om akutmottagningar, väntetider och besök 2023.
Socialstyrelsen (2024c). Statistik om kommunala hälso- och sjukvårdsinsatser 2024.
Socialstyrelsen (2024d). Vård- och omsorg för äldre. Lägesrapport 2024.
Socialstyrelsen (2025a). Anvisningar för att rekvirera statsbidrag för 2025 stärkt tillgänglighet och ökad vårdkapacitet inom den specialiserade hälso- och sjukvården.
Socialstyrelsen (2025b). Fördelning av statsbidrag för 2025 till stärkt tillgänglighet och ökad vårdkapacitet inom den specialiserade hälso- och sjukvården.
Socialstyrelsen (2025c). Metodstöd säsongsanpassat riktvärde för disponibla vårdplatser. Metodstöd för somatisk sluten vård (exklusive IVA).
Socialstyrelsen (2025d). Socialstyrelsens bidrag till att stärka hälso- och sjukvårdens tillgänglighet och vårdkapacitet.
Socialstyrelsen (2025e). Uppföljning av överenskommelser om ökad tillgänglighet i hälso- och sjukvården 2023 och 2024. Slutredovisning av regionernas insatser.
Socialstyrelsen (2025f). Vårdkapacitet i balans – Uppdaterat riktvärde för disponibla vårdplatser i somatisk sluten vård och intensivvård och Målsatta mått för ökad vårdplatskapacitet genom att öka tillgängliga resurser och minska behovet av sluten vård.
Socialstyrelsen (2026a). Anvisningar för att rekvirera statsbidrag för 2026 stärkt tillgänglighet och ökad vårdkapacitet inom den specialiserade hälso- och sjukvården.
Socialstyrelsen (2026b). Socialstyrelsens termbank.
SOU 2018:39. God och nära vård – en primärvårdsreform.
SOU 2022:22. Vägen till ökad tillgänglighet – delaktighet, tidiga insatser och inom lagens ram.
SOU 2024:57. Ett nytt regelverk för hälsodataregister.
Statskontoret (2024). Statens styrning med statsbidrag till kommuner och regioner 2023. Antal, omfattning och innehåll.
Vård- och omsorgsanalys (2020). Laga efter läge. Uppföljning av lagen om samverkan vid utskrivning från slutenvården. (Rapport 2020:4). Myndigheten för vård- och omsorgsanalys.
Vård- och omsorgsanalys (2022). I rätt riktning? Användningen av riktade statsbidrag inom vård och omsorg. (Rapport 2022:3). Myndigheten för vård- och omsorgsanalys.
Vård- och omsorgsanalys (2023). Ordnat för omställning? Utvärdering av omställningen till en god och nära vård: delrapport. (Rapport 2023:2). Myndigheten för vård- och omsorgsanalys.
Vård- och omsorgsanalys (2024). Redo för framtiden? Analys av hur det offentliga åtagandet i hälso- och sjukvården och äldreomsorgen kan utvecklas till år 2040. (Rapport 2024:1). Myndigheten för vård- och omsorgsanalys.
Vård- och omsorgsanalys (2025a). Omtag för omställning. Utvärdering av omställningen till en god och nära vård: slutrapport. (Rapport 2025:1). Myndigheten för vård- och omsorgsanalys.
Vård- och omsorgsanalys (2025b). Samordning med svårigheter. Tillämpningen av samordnad individuell plan, SIP. (Rapport 2025:2). Myndigheten för vård- och omsorgsanalys.
Vård- och omsorgsanalys (2025c). Utvärdering av satsningen på vårdplatser inom hälso-och sjukvården. Delredovisning. (PM 2025:3). Myndigheten för vård- och omsorgsanalys.
Vård- och omsorgsanalys (2025d). Vården ur befolkningens perspektiv, 65 år och äldre. International Health Policy Survey (IHP) 2024. (PM 2025:1). Myndigheten för vård- och omsorgsanalys.
Vård- och omsorgsanalys (2026). Vården ur primärvårdsläkarnas perspektiv. International Health Policy Survey (IHP) 2025. (PM 2026:1). Myndigheten för vård- och omsorgsanalys.
Bilaga 1 – Ledningsenkäten
Metod
Ledningsenkäten skickades ut via mejl till hälso- och sjukvårdsdirektörerna i alla regioner i början på september 2025. Det var möjligt att skicka vidare enkäten, så att olika personer svarade på olika delar. Enkäten stängdes efter ungefär fyra veckor, efter att vi hade skickat två påminnelser om att svara. Det gick bara att skicka in ett svar per region.
I slutet av enkäten kunde svaren skrivas ut för diarieföring. Enkäten hade samråtts med SKR innan den skickades ut. Enkäten hade även testats av ledningen i en region. Vi fick in svar från 18 regioner.
Resultat
Tabell 9. Har din region tagit del av stöd från Socialstyrelsen med syftet att öka antalet vårdplatser eller vårdkapaciteten?
| Ja | Nej | Vet inte | Antal |
| 18 | 0 | 0 | 18 |
Tabell 10. Har ni använt något av följande från Socialstyrelsen i ert arbete med att öka antalet vårdplatser eller vårdkapaciteten?
| Kryssat för | Inte kryssat för | Antal | |
| Riktvärden för antalet vårdplatser | 15 | 3 | 18 |
| Rapporten Plats för vård | 15 | 3 | 18 |
| Medel från de prestations-baserade statsbidragen för att minska antalet överbeläggningar eller utlokaliseringar | 16 | 2 | 18 |
| Utbildningstillfällen | 9 | 9 | 18 |
| Annat stöd eller stödmaterial från Socialstyrelsen | 12 | 6 | 18 |
| Inget av ovanstående | – | 18 | 18 |
| Vet inte | – | 18 | 18 |
Tabell 11. På det hela taget, har stödet från Socialstyrelsen varit till hjälp?
| Stor hjälp | Ganska stor hjälp | Varken stor eller liten hjälp | Ganska liten hjälp | Liten hjälp | Vet inte | Inte aktuellt | Antal |
| 3 | 8 | 6 | – | 1 | – | – | 18 |
Tabell 12. Vilka av följande fokusområden i Socialstyrelsens förslag till nationell plan ”Plats för vård” har ni arbetat med?
| Kryssat för | Inte kryssat för | Antal | |
| Utveckla systematisk produktions- och kapacitetsstyrning | 17 | 1 | 18 |
| Säkerställ hållbar kompetensförsörjning | 16 | 2 | 18 |
| Använd kompetensen ändamålsenligt | 17 | 1 | 18 |
| Ställ om till en god och nära vård | 16 | 2 | 18 |
| Nationell plan för minskad vårdplatsbrist inom rättspsykiatrisk vård | 11 | 7 | 18 |
| Inget av ovanstående | – | 18 | 18 |
| Vet inte | – | 18 | 18 |
Tabell 13. I vilken utsträckning fokuserade insatserna i din region på att:
| I hög utsträckning | I ganska hög utsträckning | I ganska låg utsträckning | I låg utsträckning/inte alls | Vet inte | Inte aktuellt | Antal | |
| Minska vårdtillfällen i slutenvården genom till exempel före-byggande vård eller poliklinisering | 6 | 9 | 3 | – | – | – | 18 |
| Minska beläggningsgraden i slutenvården | 7 | 9 | 2 | – | – | – | 18 |
| Öka antalet vårdplatser i slutenvården | 7 | 7 | 3 | 1 | – | – | 18 |
| Minska över-beläggningar | 7 | 9 | 2 | – | – | – | 18 |
| Minska utlokaliseringar | 7 | 9 | 2 | – | – | – | 18 |
| Minska antalet utskrivningsklara patienter som är inskrivna | 9 | 7 | – | – | – | 2 | 18 |
| Minska återinskrivningar | 5 | 7 | 6 | – | – | – | 18 |
| Annat: (fritext) | 1 | 1 | – | – | – | 1 | 3 |
Tabell 14. Har någon eller några insatser varit särskilt fokuserade på psykiatrin?
| Ja | Nej | Vet inte | Inte aktuellt | Antal |
| 12 | 2 | 3 | 1 | 18 |
Tabell 15. Har satsningen inneburit att ni påbörjat insatser inom något av följande områden efter 2023?
| Kryssat för | Inte kryssat för | Antal | |
| Minska vårdtillfällen i sluten-vården genom till exempel förebyggande vård eller poliklinisering | 15 | 3 | 18 |
| Minska beläggningsgraden i slutenvården | 14 | 4 | 18 |
| Öka antalet vårdplatser i slutenvården | 12 | 6 | 18 |
| Minska överbeläggningar | 13 | 5 | 18 |
| Minska utlokaliseringar | 13 | 5 | 18 |
| Minska antalet utskrivningsklara patienter som är inskrivna | 12 | 6 | 18 |
| Minska återinskrivningar | 8 | 10 | 18 |
| Annat | 4 | 14 | 18 |
| Vet inte | – | 18 | 18 |
| Inte aktuellt | – | 18 | 18 |
Tabell 16. Genomförde din region någon form av behovsanalys innan ni beslutade vilka insatser ni skulle arbeta med?
| Ja | Nej | Vet inte | Inte aktuellt | Antal |
| 14 | 2 | 1 | 1 | 18 |
Tabell 17. Har någon av följande varit involverade i arbetet med att ta fram vilka insatser som din region har arbetat med?
| Kryssat för | Inte kryssat för | Antal | |
| Verksamhetsföreträdare | 18 | – | 18 |
| Patientföreträdare eller patient-organisationer (till exempel patientråd på sjukhus eller i regionen) | 2 | 16 | 18 |
| Annat | 6 | 12 | 18 |
| Inget av ovanstående | – | 18 | 18 |
| Vet inte | – | 18 | 18 |
| Inte aktuellt | 18 | 18 |
Tabell 18. På vilket sätt har verksamhetsföreträdare varit involverade?
| Kryssat för | Inte kryssat för | Antal | |
| De har blivit informerade om insatserna | 7 | 5 | 12 |
| De har deltagit i workshops eller liknande | 8 | 4 | 12 |
| De har deltagit i val och prioriteringar av insatser | 11 | 1 | 12 |
| Annat | 1 | 11 | 12 |
| Vet inte | – | 12 | 12 |
| Inte aktuellt | – | 12 | 12 |
Tabell 19. På vilket sätt har patientföreträdare eller patientorganisationer varit involverade?
| Kryssat för | Inte kryssat för | Antal | |
| De har blivit informerade om insatserna | – | 1 | 1 |
| De har deltagit i workshops eller liknande | 1 | – | 1 |
| De har deltagit i val och prioriteringar av insatser | – | 1 | 1 |
| Annat | – | 1 | 1 |
| Vet inte | – | 1 | 1 |
| Inte aktuellt | – | 1 | 1 |
Tabell 20. I vilken utsträckning har din region:
| I hög utsträckning | I ganska hög utsträckning | I ganska låg utsträckning | I låg utsträckning/inte alls | Vet inte | Inte aktuellt | Antal | |
| Haft en tydligt definierad målbild för insatserna | 8 | 8 | 2 | – | – | – | 18 |
| Haft målsatta mått eller indikatorer kopplade till insatserna | 7 | 8 | 3 | – | – | – | 18 |
| Följt upp insatserna som ni arbetat med | 6 | 11 | 1 | – | – | – | 18 |
| Bedrivit insatserna i projektform | – | 6 | 5 | 2 | 1 | 4 | 18 |
Tabell 21. På det stora hela, i vilken utsträckning bedömer du att insatserna direkt eller indirekt ökat antalet vårdplatser eller vårdens kapacitet?
| I hög utsträckning | I ganska hög utsträckning | I ganska låg utsträckning | I låg utsträckning/inte alls | Vet inte | Inte aktuellt | Antal |
| 8 | 8 | 2 | – | – | – | 18 |
Tabell 22. På det stora hela, hur bedömer du att regionens möjlighet att tillgodose behovet av slutenvård är idag jämfört med 2023?
| Möjligheterna är bättre | Möjligheterna är ungefär detsamma | Möjligheterna är sämre | Vet inte | Inte aktuellt | Antal |
| 13 | 4 | 1 | – | – | 18 |
Tabell 23. Hur goda eller dåliga förutsättningar finns det att öka kapaciteten för slutenvård i din region de närmsta två åren?
| Mycket goda förutsättningar | Ganska goda förutsättningar | Lika delar goda och dåliga förut-sättningar | Ganska dåliga förut-sättningar | Mycket dåliga förut-sättningar | Har inga planer på att öka kapaciteten och/eller vård-platser | Vet inte | Inte aktuellt | Antal |
| 2 | 8 | 5 | 1 | – | 1 | 1 | – | 18 |
Tabell 24. Hur tycker du att samverkan kring patienter i slutenvården och följande delar av hälso- och sjukvården generellt fungerar?
| Mycket bra | Ganska bra | Varken bra eller dåligt | Ganska dåligt | Mycket dålig | Vet inte | Inte aktuellt | Antal | |
| Vårdcentraler | 2 | 9 | 6 | 1 | – | – | – | 18 |
| Den kommunala hälso- och sjukvården | 2 | 9 | 7 | – | – | – | – | 18 |
| Andra sjukhus i din sjukvårdsregion | 2 | 12 | 3 | – | – | – | 1 | 18 |
Bilaga 2 – Vårdplatskoordinatorsenkäten
Metod
Vi skickade ut enkäten till vårdplatskoordinatorerna i början på september 2025. För att få uppgifter om mejladresser till personer anställda som vårdplatskoordinator eller med motsvarande arbetsuppgifter, kontaktade vi registratorn i samtliga regioner. Vi fick in 330 mejladresser till personer samt 9 adresser till funktionsbrevlådor. Vi skickade ut en öppen länk via mejl, där det var möjligt att svara flera gånger till funktionsbrevlådorna. Till övriga skickade vi en länk som det gick att svara på en gång.
Det var möjligt att i slutet av enkäten skriva ut svaren för diarieföring. Enkäten hade samråtts med SKR innan den skickades ut. Enkäten hade även testats av vårdplatskoordinatorer i två olika regioner.
Vi skickade två påminnelser om att svara på enkäten och stängde den efter ungefär fyra veckor. Vi fick in 183 svar från vårdplatskoordinatorer/personer med motsvarande arbetsuppgifter i 20 regioner men antalet svar per region skiljer sig stort, se tabell 25. Antalet svar per region följer delvis regionernas storlek, men vissa regioner är under- eller överrepresenterade sett till befolkningsstorleken.
Tabell 25. Fördelning av svar i regionerna.
| Svar per region | Antal regioner |
| 1 svar | 3 |
| 2 svar | 6 |
| 3 svar | 1 |
| 4 svar | 1 |
| 5 svar | 1 |
| 7 svar | 1 |
| 8 svar | 1 |
| 9 svar | 1 |
| 18 svar | 1 |
| 23 svar | 1 |
| 25 svar | 1 |
| 26 svar | 1 |
| 40 svar | 1 |
Resultat
Tabell 26. Arbetar du idag som vårdplatskoordinator eller har motsvarande arbetsuppgifter?
| Vårdplatskoordinator | Motsvarande/liknande arbetsuppgifter | Antal |
| 71 | 29 | 183 |
Not. Siffrorna i tabellen avser procent, förutom kolumnen för antal.
Tabell 27. I din roll, hur ofta gör du följande?
| Dagligen | Ett par gånger i veckan | Ett par gånger i månaden | Mer sällan | Aldrig | Vet inte | Inte aktuellt | Antal | |
| Fördelar vårdplatser till patienter som kommer från akuten eller andra avdelningar | 47 | 25 | 18 | 5 | 1 | – | 4 | 175 |
| Följer upp eller utvärderar utvecklingen av vårdplatser på strategisk nivå | 27 | 7 | 15 | 11 | 17 | 4 | 19 | 151 |
| Annat | 34 | 16 | 8 | 4 | 4 | 9 | 25 | 83 |
Not. Siffrorna i tabellen avser procent, förutom kolumnen för antal.
Tabell 28. Hur länge har du jobbat i din roll?
| 0–2 år | 3–5 år | 6 år eller längre | Vet inte | Vill inte svara | Antal |
| 27 | 32 | 41 | – | – | 176 |
Not. Siffrorna i tabellen avser procent, förutom kolumnen för antal.
Tabell 29. Vilken typ av sjukhus arbetar du på?
| Länsdelssjukhus | Länssjukhus | Regionsjukhus/universitetssjukhus | Annat | Vet inte | Vill inte svara | Antal |
| 11 | 23 | 61 | 3 | 2 | – | 175 |
Not. Siffrorna i tabellen avser procent, förutom kolumnen för antal.
Tabell 30. Hur arbetar du huvudsakligen?
| Dagtid | Obekväma tider | Blandat | Arbetar med vårdplatser under kortare perioder eller specifika säsonger | Annat | Vet inte | Vill inte svara | Antal |
| 30 | 21 | 37 | 6 | 6 | – | – | 174 |
Not. Siffrorna i tabellen avser procent, förutom kolumnen för antal.
Tabell 31. På det hela taget, hur ofta upplever du att det finns en vårdplats tillgänglig på:
| Alltid | Ofta | Ibland | Sällan | Aldrig | Vet inte | Inte aktuellt | Antal | |
| Patientens tilltänkta avdelning | 3 | 33 | 41 | 20 | 2 | – | 1 | 175 |
| En annan avdelning än den tilltänkta (patienten utlokaliseras) | 8 | 30 | 43 | 11 | 2 | 1 | 5 | 168 |
Not. Siffrorna i tabellen avser procent, förutom kolumnen för antal.
Tabell 32. Jämfört med 2023, hur lätt eller svårt upplever du att det har blivit att hitta en vårdplats till den som har behov av det?
| Det har blivit lättare | Det har förblivit ungefär det samma | Det har blivit svårare | Vet inte | Inte aktuellt | Antal |
| 10 | 40 | 47 | 2 | 2 | 126 |
Not. Siffrorna i tabellen avser procent, förutom kolumnen för antal.
Tabell 33. Jämfört med 2023, hur lätt eller svårt upplever du att det har blivit att hitta en vårdplats på följande typer av avdelningar?
| Det har blivit lättare | Det har förblivit ungefär det samma | Det har blivit svårare | Vet inte | Inte aktuellt | Antal | |
| Geriatrisk vård | 18 | 22 | 45 | 4 | 11 | 117 |
| Kirurgi (så som förlossningsvård eller allmän, ortopedisk och urologisk kirurgi) | 8 | 36 | 32 | 7 | 17 | 123 |
| Internmedicin (så som infektionssjukvård eller medicinsk rehabilitering) | 4 | 30 | 44 | 8 | 14 | 119 |
| Psykiatri | 5 | 14 | 15 | 27 | 39 | 110 |
| Annat | – | 9 | 16 | 18 | 57 | 56 |
Not. Siffrorna i tabellen avser procent, förutom kolumnen för antal.
Tabell 34. Jämfört med 2023, hur upplever du att följande generellt har utvecklats på sjukhuset där du arbetar?
| Har ökat | Ungefär samma | Har minskat | Vet inte | Inte aktuellt | Antal | |
| Antalet överbeläggningar | 51 | 37 | 7 | 3 | 2 | 122 |
| Antalet utlokaliseringar | 38 | 38 | 10 | 7 | 7 | 121 |
| Beläggningsgraden | 50 | 41 | 4 | 5 | – | 121 |
Not. Siffrorna i tabellen avser procent, förutom kolumnen för antal.
Tabell 35. Jämfört med 2023, hur lätt eller svårt upplever du att det har blivit att hitta en vårdplats till den som har behov av det i perioder med hög belastning?
| Det har blivit lättare | Det har förblivit ungefär det samma | Det har blivit svårare | Vet inte | Inte aktuellt | Antal |
| 5 | 60 | 32 | 3 | – | 125 |
Not. Siffrorna i tabellen avser procent, förutom kolumnen för antal.
Tabell 36. Jämfört med 2023, hur har antalet patienter som behöver stanna över natten på akuten för att vårdplatser på andra avdelningar saknas generellt utvecklats?
| Har ökat | Ungefär samma | Har minskat | Akuten har inte öppet nattetid | Vet inte | Inte aktuellt | Antal |
| 35 | 23 | 8 | 9 | 13 | 12 | 120 |
Not. Siffrorna i tabellen avser procent, förutom kolumnen för antal.
Tabell 37. Jämfört med 2023, hur har antalet patienter som är placerade på en vårdplats som inte är fullvärdig under hela eller delar av sin sjukhusvistelse generellt utvecklats?
| Har ökat | Ungefär samma | Har minskat | Vet inte | Inte aktuellt | Antal |
| 26 | 36 | 11 | 14 | 13 | 118 |
Not. Siffrorna i tabellen avser procent, förutom kolumnen för antal.
Tabell 38. I vilken uträckning upplever du att ditt sjukhus arbetar med att öka antalet vårdplatser eller kapaciteten i slutenvården?
| Hög utsträckning | Ganska hög utsträckning | Ganska låg utsträckning | Låg utsträckning/inte alls | Vet inte | Inte aktuellt | Antal |
| 11 | 34 | 23 | 15 | 16 | 1 | 163 |
Not. Siffrorna i tabellen avser procent, förutom kolumnen för antal.
Spridning mellan vårdplatskoordinatorer i regionerna i hur utvecklingen upplevs
Den övergripande bilden bland vårdplatskoordinatorerna är generellt negativ för de sju måtten av utvecklingen sedan 2023. Men vi ser att bilden skiljer sig stort mellan olika regioner.
Figur 47 visar den genomsnittliga andelen per region som svarat att utvecklingen gått åt fel håll. Det vill säga att det blivit svårare att hitta en vårdplats, både generellt och i perioder av hög belastning. Eller att antalet patienter på en vårdplats som inte bedöms fullvärdig, patienter som övernattar på akuten, utlokaliseringar, överbeläggningar och beläggningsgraden ökat. Varje box representerar en region. Figuren redovisar endast andelen som svarat att utvecklingen gått åt fel håll, för samtliga svarsalternativ se tabell 34–36 ovan.
I relativt många regioner har få vårdplatskoordinatorer svarat och därmed finns det många regioner där den genomsnittliga andelen är 0 och 100 procent, det vill säga att de är eniga i sina svar.
Figur 47. Genomsnittlig andel vårdplatskoordinatorer som angett svaret per region.

Källa: Vård- och omsorgsanalys vårdplatskoordinatorsenkät 2025. Frågorna var: Jämfört med 2023, hur lätt eller svårt upplever du att det har blivit att hitta en vårdplats till den som har behov av det? Jämfört med 2023, hur lätt eller svårt upplever du att det har blivit att hitta en vårdplats till den som har behov av det i perioder med hög belastning? Jämfört med 2023, hur upplever du att följande generellt har utvecklats på sjukhuset där du arbetar? Jämfört med 2023, hur har antalet patienter som är placerade på en vårdplats som inte är fullvärdig under hela eller delar av sin sjukhusvistelse generellt utvecklats? Jämfört med 2023, hur har antalet patienter som behöver stanna över natten på akuten för att vårdplatser på andra avdelningar saknas generellt utvecklats? N: 126,125, 120, 118,120.
Bilaga 3 – Intervjuer
I vårt arbeta med slutredovisningen har vi intervjuat kommuner och regioner. Dels i syftet att undersöka samverkan och dels som ett komplement till den enkät vi skickade ut till regionernas ledning.
I syftet att undersöka samverkan har vi pratat med följande kommuner och regioner:
- Malmö stad
- Kumla kommun
- Kristianstad kommun
- Kiruna kommun
- Piteå kommun
- Krokoms kommun
- Region Norrbotten
- Region Skåne
- Region Örebro
I kommunerna har vi intervjuat ett 20-tal personer som på något sätt arbetar med samverkan med slutenvården. Vi intervjuade sjuksköterskor, MAS, MAR, biståndshandläggare, strateg- och utvecklingsfunktioner samt chefer på olika nivåer. Intervjuerna genomfördes både i grupp och individuellt. Två av kommunerna deltog i två intervjuer, medan resten av kommunerna deltog i en intervju. Antalet personer som deltog i intervjuerna varierade.
För att fånga regionperspektivet på samverkan med kommunen genomförde vi intervjuer i tre regioner. I de flesta regioner gjordes en intervju men i en region genomfördes två. Antalet personer som deltog i intervjuerna varierade men sammantaget har vi pratat med 7 personer. De vi pratat med har främst haft strateg-, samordningens- eller utvecklingsfunktioner eller chefspositioner.
Regioner där vi genomfört fördjupande intervjuer som komplement till ledningsenkäten:
- Region Halland
- Region Norrbotten
- Region Stockholm
- Region Värmland
- Region Västernorrland
- Region Västmanland
- Region Östergötland
I de fördjupande intervjuerna har de flesta intervjupersonerna varit chefer, men några har även varit strateger. Några exempel på intervjupersoner är hälso- och sjukvårdsdirektör, områdeschef, chefläkare, hälso- och sjukvårdsstrateger och ekonomichef.
Utöver intervjuerna genomförde vi ett studiebesök i Region Uppsala, och ett möte med Socialstyrelsen. För information om vilka aktörer vi har intervjuat i arbetet med delredovisningen se bilaga i Vård- och omsorgsanalys (2025c).
Bilaga 4 – Dokumentanalys
Vi har utgått från dokumenten Redovisning av överenskommelse om ökad tillgänglighet 2024. Vi fick dokumenten och kompletterande material, som handlingsplaner från Socialstyrelsen.
I vår dokumentanalys har vi utgått från huvuddokumentet Redovisning av överenskommelse om ökad tillgänglighet 2024 och de insatser som beskrivs där. Vi har däremot inte gått igenom kompletterande material. I dokumentet har vi främst fokuserat på styckena som handlar om vårdplatser och när det uttryckligen står att insatsen handlar om vårdplatser eller slutenvård.
Vi har kodat insatserna och sedan aggregerat dem till teman. Vi har delat in insatserna dels i typer av insatser, dels i vilken del av vården de berör. Två personer har kodat insatserna och löpande diskuterat och stämt av kodningen. Kontaktpersonerna som fyllt i dokumenten fick sedan möjlighet att komplettera med ytterligare insatser.
Figur 48. Illustration av hur vi kodar insatserna.

Regionerna skriver olika mycket och tar upp olika många insatser. De beskriver också insatserna på olika nivåer, där vissa områden är mer konkreta och lätta att identifiera som teman medan annat är mer svårplacerat och passar in i flera kategorier. Vi har då valt att koda dem i flera teman.
Vi kodade ungefär 600 insatser i 13 övergripande kategorier av typer av insatser och 6 delar av vården som de berör.
Bilaga 5 – Datakvalitet, bortfall, täckningsgrad och uträkningar
Utmaningar med datakvaliteten och tillgången till data i olika källor
I vår delrapport (Vård- och omsorgsanalys 2025c) jämförde vi täckningsgraden mellan verksamhetsstatistiken, SKR:s väntetidsdatabas och Socialstyrelsens underlag för statsbidrag. Socialstyrelsens underlag för statsbidrag är inte samma datakälla som vi tar upp i tabell 39, utan är data som Socialstyrelsen bara fick in 2023 kopplade till medlen för att minska överbeläggningar och utlokaliseringar. Då konstaterade vi att det fanns stora skillnader mellan databaserna som är svåra att förklara, men där vi misstänker att datakvaliteten är bristfällig.
I SKR:s väntetidsdatabas består bristerna i datakvalitet främst av att registreringarna inte alltid är fullständiga, vilket försvårar jämförelser mellan regioner. Exempel på brister är att under 2022–2024 faller registreringar från enstaka månader bort för ett antal regioner, samtidigt som det också förekommer bortfall av registreringar för hela vårdenheter under tidsperioden. Vi vet sedan tidigare att täckningsgraden i SKR:s väntetidsdatabas är lägre än i SKR:s verksamhetsstatistik. Det var även något som vi såg i delrapporten. Totalt var täckningsgraden i väntetidsdatabasen 90 procent av verksamhetsstatistiken. Men regionernas täckningsgrad varierade mellan 64 och 112 procent (Vård- och omsorgsanalys 2025c).
En fördel med SKR:s väntetidsdatabas är samtidigt att publicering sker varje månad, vilket betyder att vi har tillgång till data för 2025. Samtidigt har flera regioner bytt vårdinformationssystem under 2025, vilket påverkat rapporteringar och därför medfört stora bortfall i registreringar (SKR 2025b). Tabell 39 sammanfattar tillgängliga statistikkällor som vi använder i vår redovisning.
Tabell 39. Sammanfattning av statistikkällor som vi använder i vår redovisning.

Not. Alla datakällor i tabellen ovan innehåller fler uppgifter än vad som nämns i tabellen.
*Socialstyrelsen har inom ramen för arbetet med Plats för vård och arbetet med regionernas vårdkapacitet redovisat ett antal utvalda och målsatta mått/variabler som kan ge indikationer om hur utvecklingen med vårdkapaciteten utvecklas. Socialstyrelsen har använt olika datakällor för olika variabler, bland annat SKR:s väntetidsdatabas och patientregistret. Vi kommer att redovisa några av dessa mått/variabler.
Mer information om hur vi väljer mellan olika datakällor när flera datakällor innehåller samma typ av variabler finns i avsnitt 2.1.
Täckningsgraden i SKR:s väntetidsdatabas
Tabell 40 visar att det är större variation i täckningsgraden för den psykiatriska vården än för den somatiska.
Tabell 40. Täckningsgraden i procent i SKR:s väntetidsdatabas jämfört med verksamhetsstatistiken för 2024.
| Blekinge | 96 | 99 |
| Dalarna | 98 | 96 |
| Gotland | 101 | 100 |
| Gävleborg | 104 | 99 |
| Halland | 99 | 100 |
| Jämtland Härjedalen | 101 | 100 |
| Jönköpings län | 100 | 100 |
| Kalmar län | 100 | 80 |
| Kronoberg | 98 | 30 |
| Norrbotten | – | – |
| Skåne | 94 | 90 |
| Stockholm | 69 | 41 |
| Sörmland | 88 | 28 |
| Uppsala | 88 | 81 |
| Värmland | 100 | 66 |
| Västerbotten | 96 | 100 |
| Västernorrland | 94 | 34 |
| Västmanland | 92 | 55 |
| Västra Götaland | 96 | 99 |
| Örebro län | – | – |
| Östergötland | 92 | 100 |
Källa: Vi har jämfört antalet vårdplatser i SKR:s väntetidsdatabas med antalet vårdplatser i verksamhetsstatistiken.Det står – på Region Norrbotten och Region Örebro, eftersom de har bortfall för några månader under 2024 i SKR:s väntetidsdatabas. Alla siffror i tabellen avser procent.
Bortfall i data över överbeläggningar, utlokaliseringar och utskrivningsklara
Regionerna med bortfall i data har bortfall samma månader för överbeläggningar som för utlokaliseringar.
Tabell 41. Regioner som har bortfall i data för olika månader för överbeläggningar och utlokaliseringar.

Källa: Informationen om vilka månader det saknas data från respektive region kommer från SKR:s väntetidsdatabas.
Bortfallet när det gäller andelen utskrivningsklara patienter är däremot inte likadant som för överbeläggningar och utlokaliseringar.
Tabell 42. Regioner som har bortfall i data för olika månader för andelen utskrivningsklara patienter.

Källa: Informationen om vilka månader det saknas data från respektive region kommer från SKR:s väntetidsdatabas.
Uträkning av nationellt värde och medelvärde för överbeläggningar, utlokaliseringar och utskrivningsklara
Det nationella värdet räknar vi ut genom att lägga ihop det totala antalet överbeläggningar för alla regioner. Talet dividerar vi sedan med det totala antalet vårdplatser för alla regioner. För att få fram antal per 100 disponibla vårdplatser multiplicerar vi talet vi får fram med 100.
För att räkna ut medelvärdet, tar vi antalet överbeläggningar per 100 disponibla vårdplatser för varje region och lägger ihop det. Talet dividerar vi sedan med antalet regioner, det vill säga för de år när vi har data för alla regioner dividerar vi med 21.
Det innebär att alla regioner påverkar medelvärdet lika mycket, medan regioner med många vårdplatser påverkar det nationella värdet mer.
Det nationella värdet och medelvärdet för utlokaliseringar räknas ut på samma sätt som det nationella värdet och medelvärdet för överbeläggningar. Det nationella värdet och medelvärdet för andelen utskrivningsklara patienter räknas ut på samma sätt som det nationella värdet och medelvärdet för överbeläggningar och utlokaliseringar. Men istället för att räkna ut antalet per 100 disponibla vårdplatser räknar vi ut andelen utskrivningsklara patienter i procent.
Nationellt värde och medelvärde för de olika grupperna av regioner för överbeläggningar, utlokaliseringar och utskrivningsklara
Tabell 43–45 beskriver värdet utifrån olika indelningar. I alla regioner inkluderar vi all data som finns tillgänglig för regionerna. Det innebär att för vissa regioner ingår data för alla månader alla år, medan det saknas data för andra regioner under någon eller några månader. I gruppen med de 15 regionerna inkluderar vi både regioner som har data för alla månader och regioner som bara har bortfall några enstaka månader. I gruppen med de 11 regionerna inkluderar vi bara regioner som har data för alla månader.
Tabell 43. Nationellt värde och medelvärde för antal överbeläggningar per 100 disponibla vårdplatser för de olika grupperna.

Källa: Uträkningar gjorda på data i SKR:s väntetidsdatabas.
Tabell 44. Nationellt värde och medelvärde för antalet utlokaliseringar per 100 disponibla vårdplatser för de olika grupperna.

Källa: Källa: Uträkningar gjorda på data i SKR:s väntetidsdatabas.
Eftersom bortfallet för andelen utskrivningsklara patienter skiljer sig åt från bortfallet för överbeläggningar och utlokaliseringar, blir det också delvis en annan gruppindelning för utskrivningsklara. I gruppen alla regioner ingår fortfarande alla regioner, men den andra gruppen består i stället av de 19 regioner som har data för alla månader eller som bara har bortfall några enstaka månader för andelen utskrivningsklara patienter. I gruppen med de 11 regionerna ingår bara regioner som har data för alla månader för andelen utskrivningsklara patienter.
Tabell 45. Nationellt värde och medelvärde för andelen utskrivningsklara patienter för de olika grupperna.

Källa: Uträkningar gjorda på data i SKR:s väntetidsdatabas. Siffrorna i tabellen avser procent.
Beslut
Beslut om den här rapporten har fattats av styrelsen för Myndigheten för vård- och omsorgsanalys. Utredaren Agnes Lindvall har varit föredragande. I den slutliga handläggningen har projektdirektören Åsa Ljungvall och analyschefen Hanna Larheden deltagit.
Stockholm 2026-03-11
Myndigheten för vård- och omsorgsanalys
Caroline Blomberg-Ohlström
Vice styrelseordförande
Sari Ponzer
Styrelseledamot
Ulrika Winblad
Styrelseledamot
Michael Erliksson
Styrelseledamot
Annika Tagizadeh Larsson
Styrelseledamot
Jean Luc af Geijerstam
Generaldirektör
Agnes Lindvall
Föredragande
Om publikationen
Brist på plats
Utvärdering av satsningen på att öka antalet vårdplatser inom hälso- och sjukvården
Rapport 2026:3
ISBN: 978-91-89933-44-6
© Myndigheten för vård- och omsorgsanalys 2026
Myndigheten för vård- och omsorgsanalys produkter redovisas i olika serier.
Analyser, slutsatser och rekommendationer publiceras i rapporter i myndighetens rapportserie. Rapporter beslutas av myndighetens styrelse. Promemorior, metodresonemang och liknande material som utgör underlag eller stöd för myndighetens rapporter samlas i myndighetens serie för promemorior. Promemorior beslutas av myndighetens generaldirektör.